Ultimele actualizari :
18/03/2026
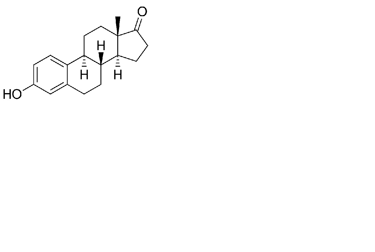
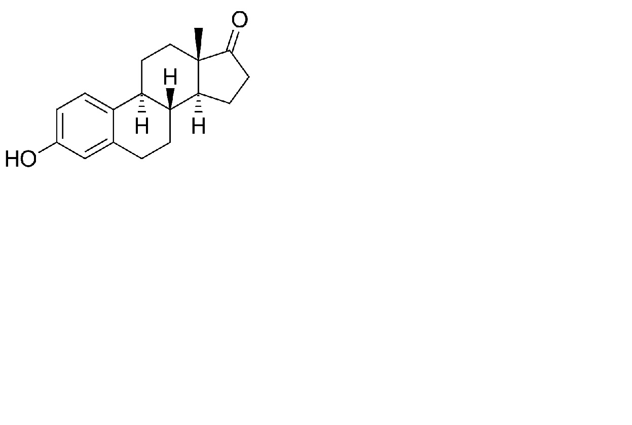
Hormone   Estrone  
Unguente
Stabilitatea preparatelor farmaceutice Stabilitatea in amestec Factorii care influenteaza stabilitatea Compatibilitate Bibliografie pdf
   Formula chimica  

Unguente

Factorii care influenteaza stabilitatea   Unguente   Factorii care influenteaza stabilitatea : Estrone        
Absenta de date

  Mentions Légales