Posledná aktualizácia :
18/03/2026
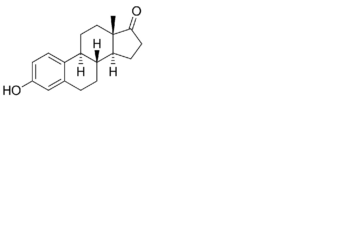
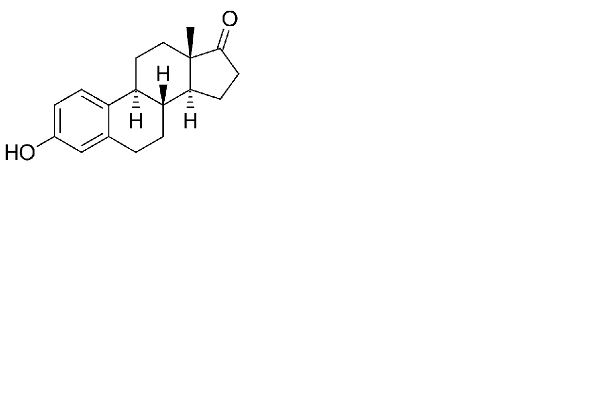
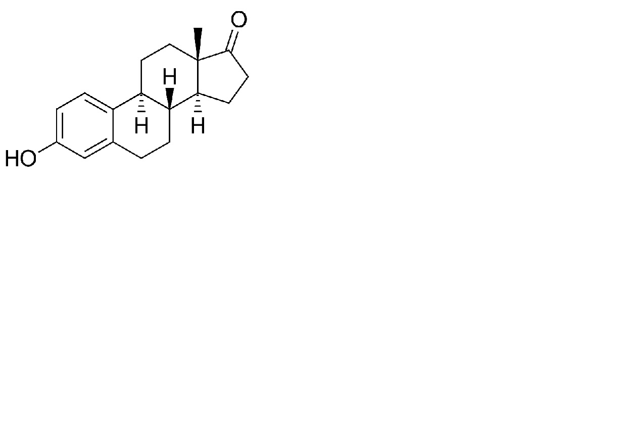
Hormón   Estrone  
Dermálny prípravok
Stabilita farmaceutických prípravkov Stabilita v zmesiach Faktory ovplyvňujúce stabilitu Kompatibility Odkazy na literatúru PDF
   Chemický vzorec  

Dermálny prípravok

Faktory ovplyvňujúce stabilitu   Dermálny prípravok   Faktory ovplyvňujúce stabilitu : Estrone        
žiadne údaje

  Mentions Légales