Seneste opdatering :
18/03/2026
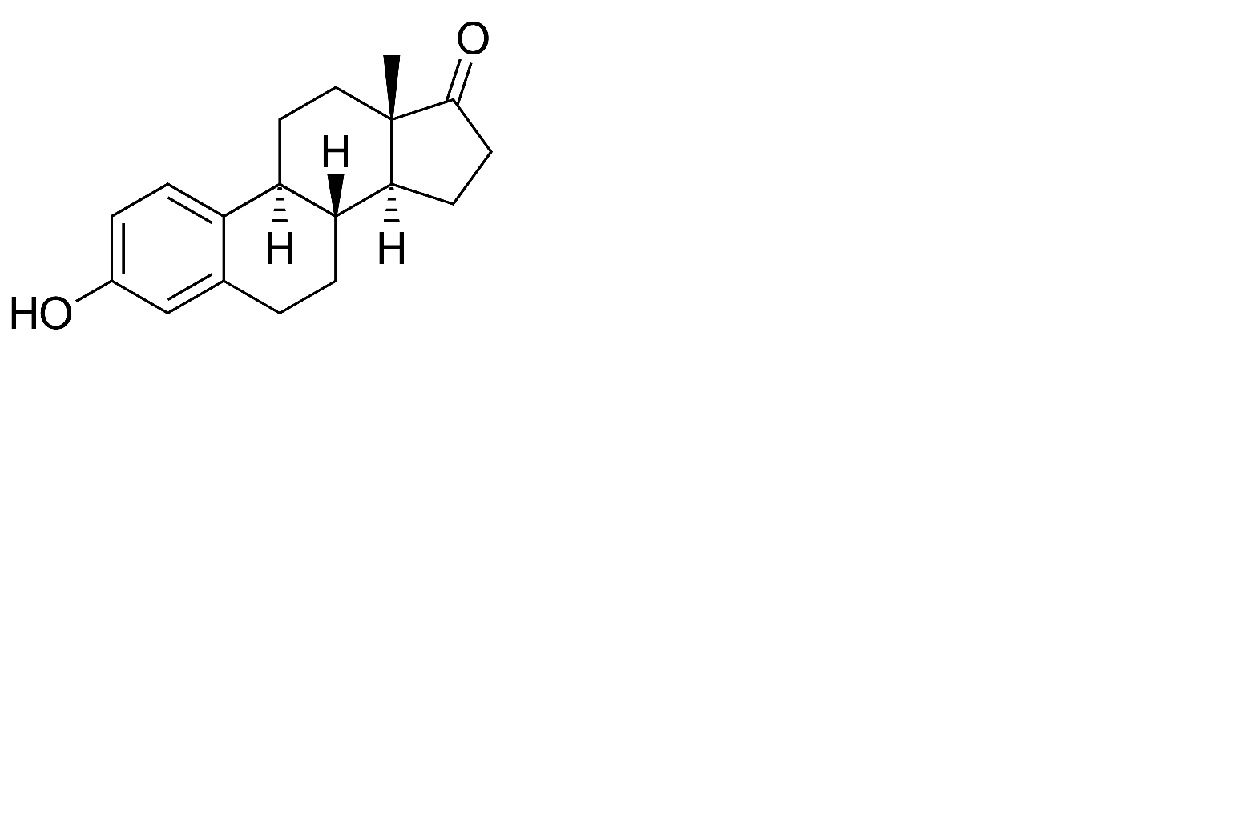
Hormon   Estrone  
Salver
Stabilitet af farmaceutiske tilberedninger Stabilitet i blandinger Faktorer der påvirker stabiliteten Kompatibilitet Bibliografi pdf
   Kemisk struktur  

Salver

Faktorer der påvirker stabiliteten   Salver   Faktorer der påvirker stabiliteten : Estrone        
Ingen data

  Mentions Légales