Siste oppdatering :
18/03/2026
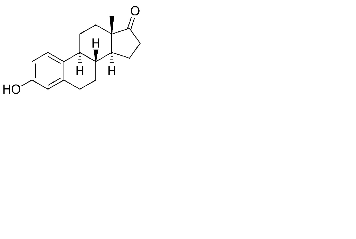
Hormon   Estrone  
Salver
Stabilitet av farmasøytiske preparater Stabilitet i blandinger Faktorer som påvirker stabiliteten Kompatibilitet Referanser pdf
   Kjemisk struktur  

Salver

Faktorer som påvirker stabiliteten   Salver   Faktorer som påvirker stabiliteten : Estrone        
Ingen opplysninger

  Mentions Légales