Τελευταία ενημέρωση :
18/03/2026
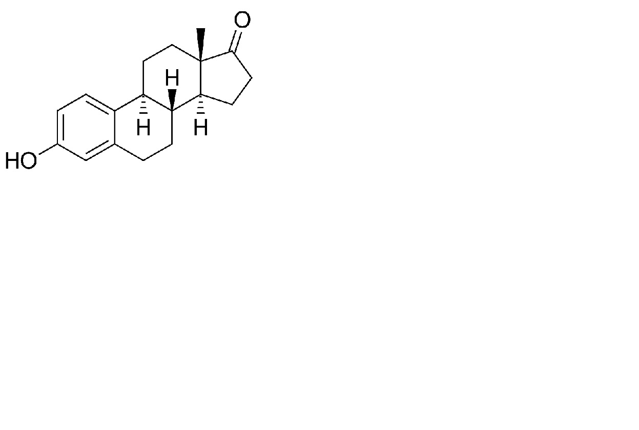
Ορμόνη   Estrone  
Αλοιφές
Σταθερότητα και συμβατότητα των φαρμάκων Σταθερότητα σε μίγματα Παράγοντας που επηρεάζει τη σταθερότητα Συμβατότητες Βιβλιογραφία pdf
   χημική δομή  

Αλοιφές

Παράγοντας που επηρεάζει τη σταθερότητα   Αλοιφές   Παράγοντας που επηρεάζει τη σταθερότητα : Estrone        
Δεν υπάρχουν πληροφορίες

  Mentions Légales