viimane versioon :
18/03/2026
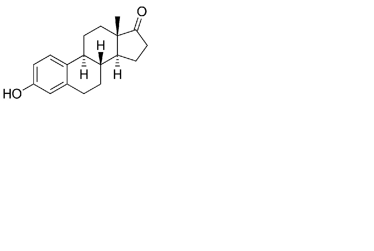
Hormoonasendusravi   Estrone  
salv
Stabiilsust ravimpreparaadid Stabiilsust mõjutavad tegurid stabiilsust mõjutavad faktorid Sobimatus Viited pdf
   keemiline struktuur  

salv

stabiilsust mõjutavad faktorid   salv   stabiilsust mõjutavad faktorid : Estrone        
andmed puuduvad

  Mentions Légales