Ultimo aggiornamento :
18/03/2026
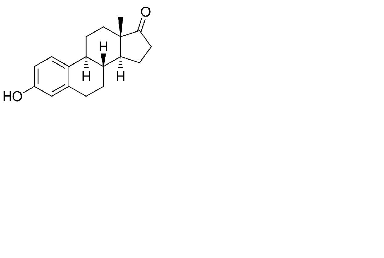
Ormone   Estrone  
Unguenti
Stabilità dei preparati farmaceutici Stabilità in miscela Fattori che influenzano la stabilità Compatibilità Bibliografia pdf
   Struttura chimica  

Unguenti

Fattori che influenzano la stabilità   Unguenti   Fattori che influenzano la stabilità : Estrone        
Assenza di dati

  Mentions Légales