Viimeisin päivitys :
18/03/2026
Hormoneja   Estrone  
Salvat
Vakaus lääkevalmisteen Stabilius seoksissa Tekijät, jotka vaikuttavat stabiliuteen Yhteensopivuus Viitteet pdf
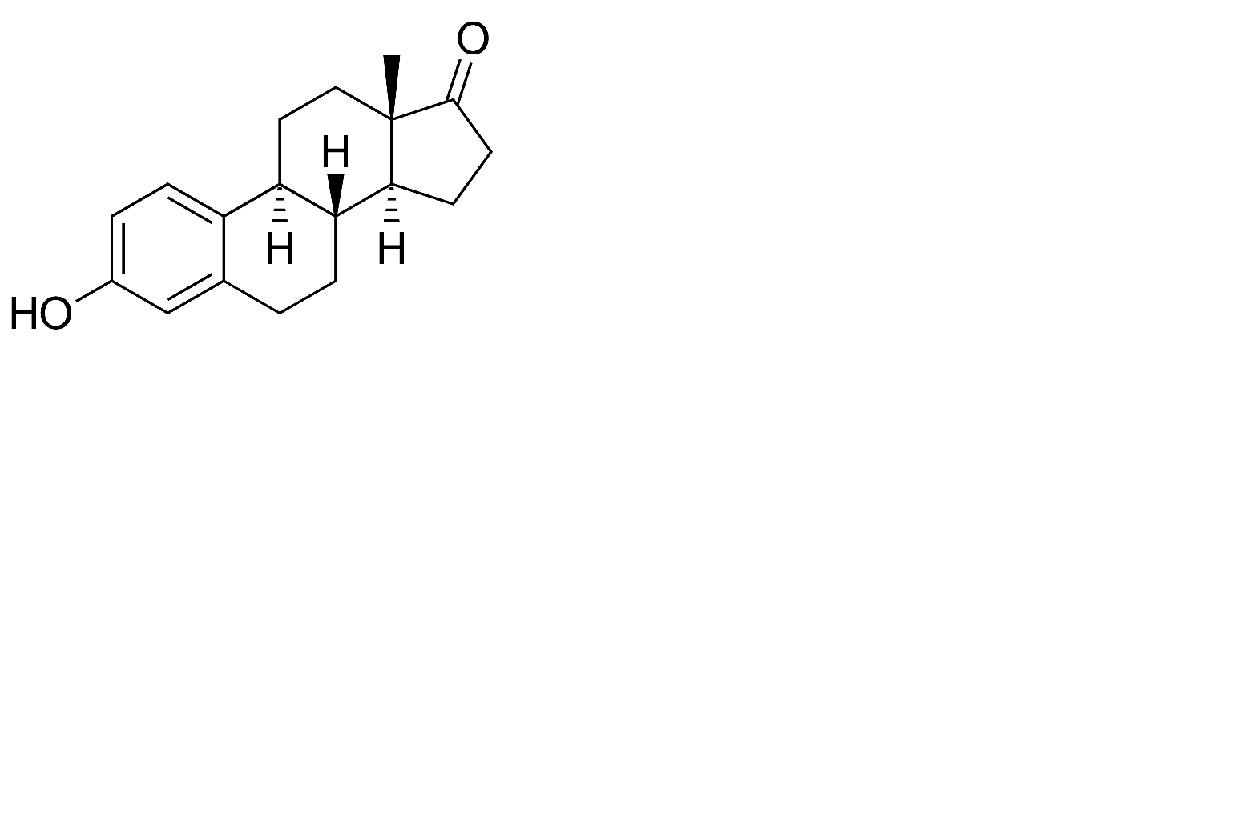
   Kemiallinen rakenne  

Salvat

Tekijät, jotka vaikuttavat stabiliuteen   Salvat   Tekijät, jotka vaikuttavat stabiliuteen : Estrone        
ei tietoa

  Mentions Légales