Последнее обновление :
18/03/2026
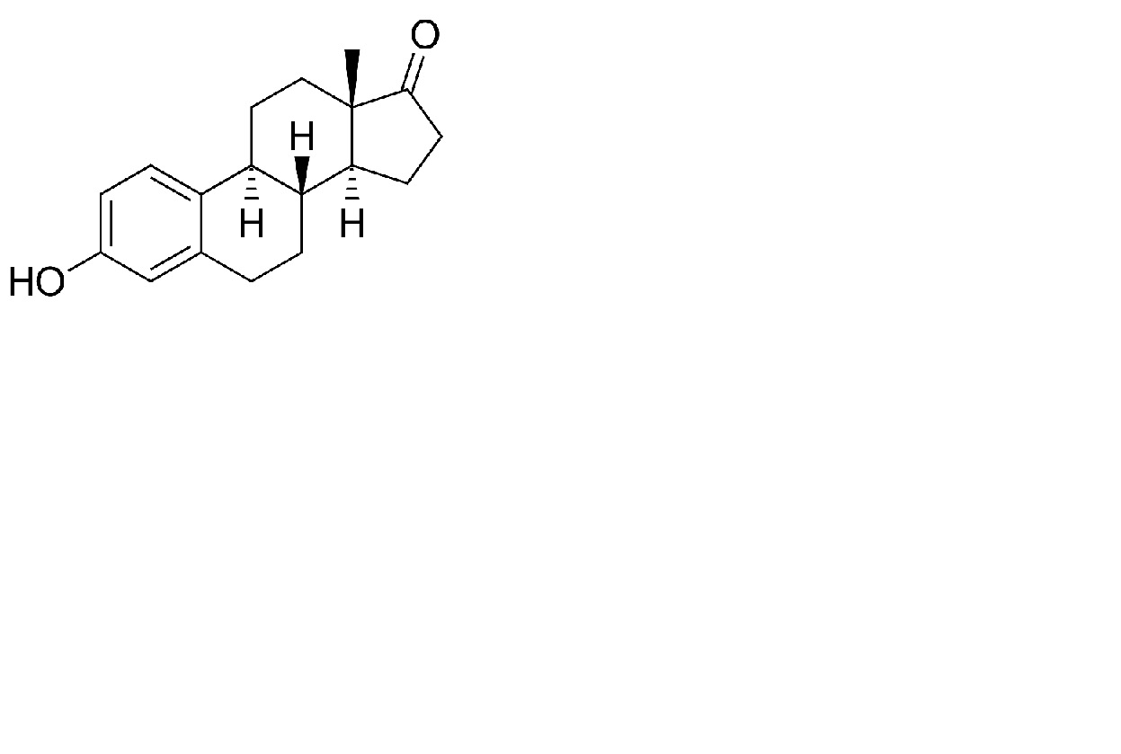
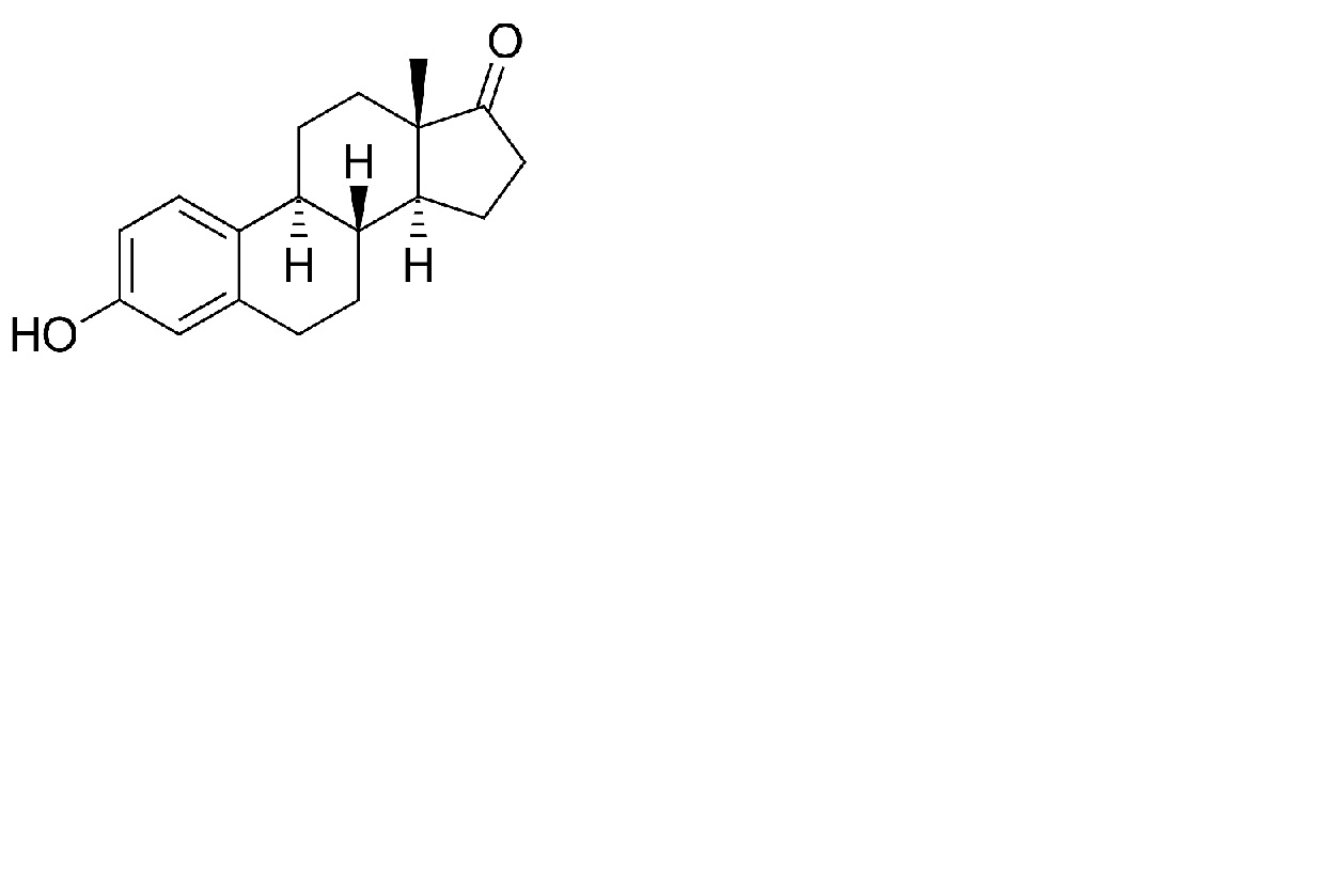
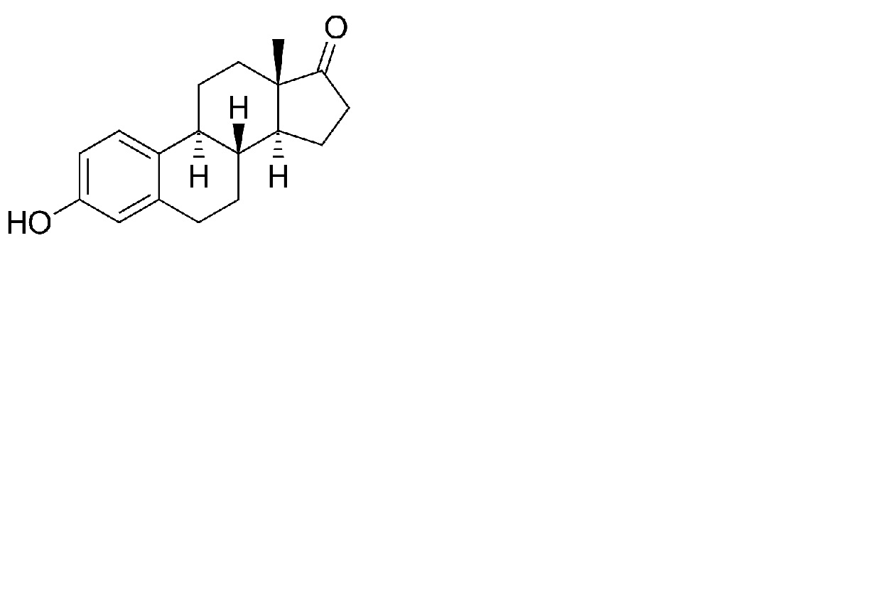
Гормон   Estrone  
Мази
Стабильность фармацевтических препаратов Стабильность смесей Факторы, которые влияют на стабильность Совместимость Библиография pdf
   Химическая структура  

Мази

Факторы, которые влияют на стабильность   Мази   Факторы, которые влияют на стабильность : Estrone        
данных нет

  Mentions Légales