Cập nhật lần cuối :
31/03/2026
Thuốc giãn mạch   Minoxidil  
Dung dịch uống
Dạng bôi da
Tính ổn định của các chế phẩm Độ ổn định khi trộn lẫn Những yếu tố ảnh hưởng đến độ ổn định Khả năng tương thích Tài liệu tham khảo Pdf
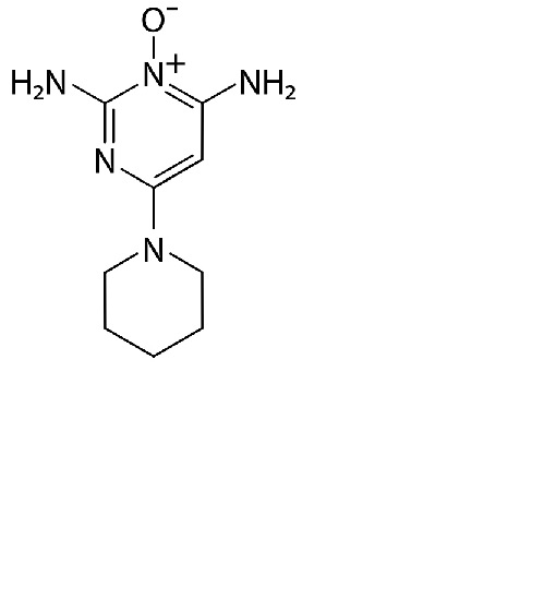
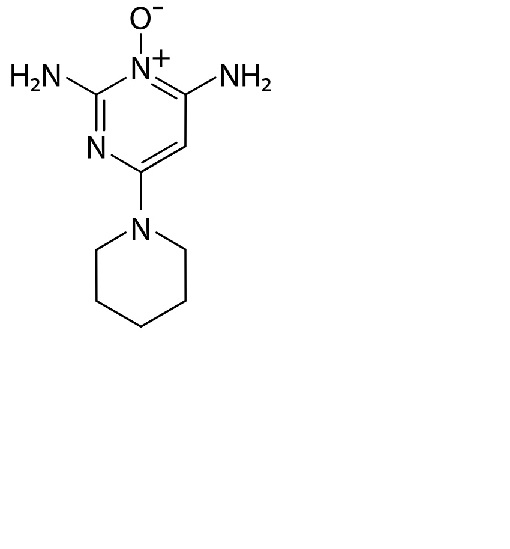
   Cấu trúc hóa học  

Dung dịch uống
Khả năng tương thích   Dung dịch uống   Khả năng tương thích : Minoxidil              
Không có dữ liệu

  Mentions Légales