Viimeisin päivitys :
31/03/2026
Vasodilataattorit   Minoxidil  
Oraaliliuos
Salvat
Vakaus lääkevalmisteen Stabilius seoksissa Tekijät, jotka vaikuttavat stabiliuteen Yhteensopivuus Viitteet pdf
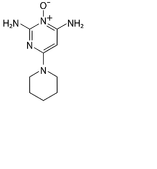
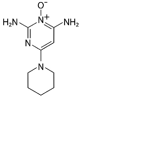
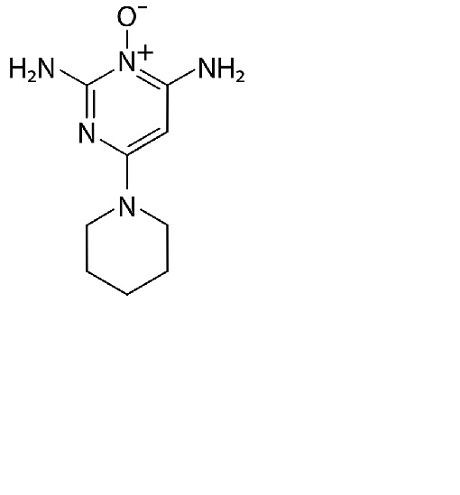
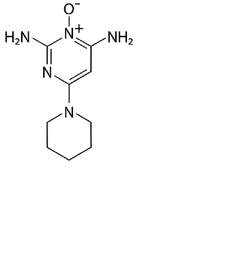
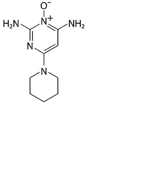
   Kemiallinen rakenne  

Oraaliliuos
Yhteensopivuus   Oraaliliuos   Yhteensopivuus : Minoxidil              
ei tietoa

  Mentions Légales