Siste oppdatering :
31/03/2026
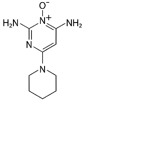
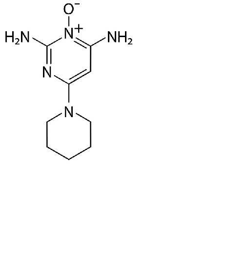
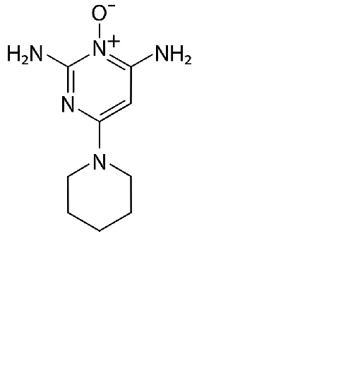
Vasodilatator   Minoxidil  
Mikstur
Salver
Stabilitet av farmasøytiske preparater Stabilitet i blandinger Faktorer som påvirker stabiliteten Kompatibilitet Referanser pdf
   Kjemisk struktur  

Mikstur
Kompatibilitet   Mikstur   Kompatibilitet : Minoxidil              
Ingen opplysninger

  Mentions Légales