Laatste update :
31/03/2026
Vaatverwijder   Minoxidil  
Orale Oplossing
zalf
Stabiliteit van farmaceutische preparaten Stabiliteit in mengsels Factoren die de stabiliteit beïnvloeden Verenigbaarheden Literatuur pdf
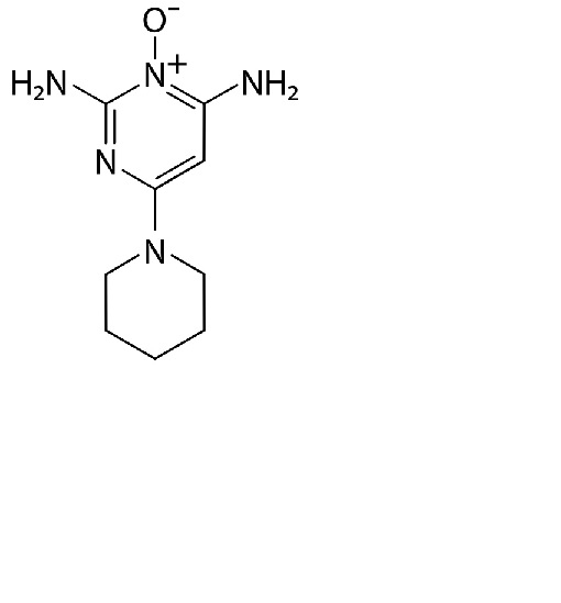
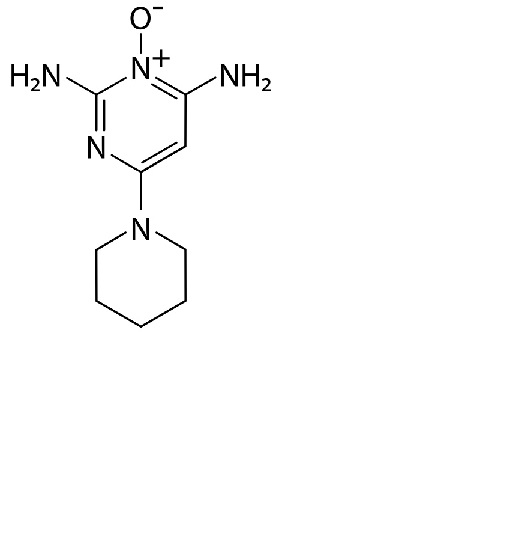
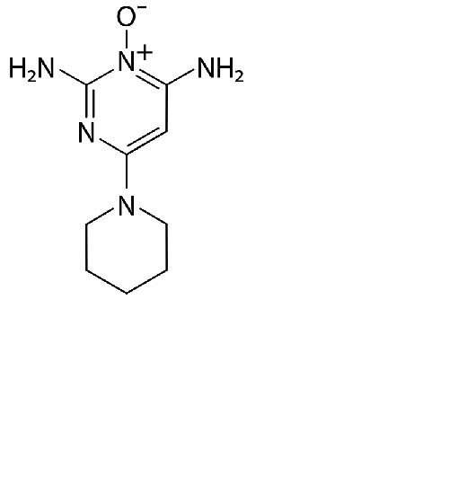
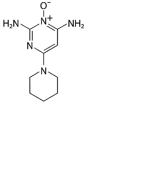
   Molecuulstructuur  

Orale Oplossing
Verenigbaarheden   Orale Oplossing   Verenigbaarheden : Minoxidil              
geen gegevens

  Mentions Légales