Senaste uppdateringen :
31/03/2026
Vasodilaterare   Minoxidil  
Oral lösning
Salvor
Stabilitet av läkemedel Stabilitet i blandningar Faktorer som påverkar stabiliteten Kompatibilitet Hänvisningar pdf
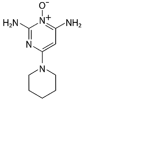
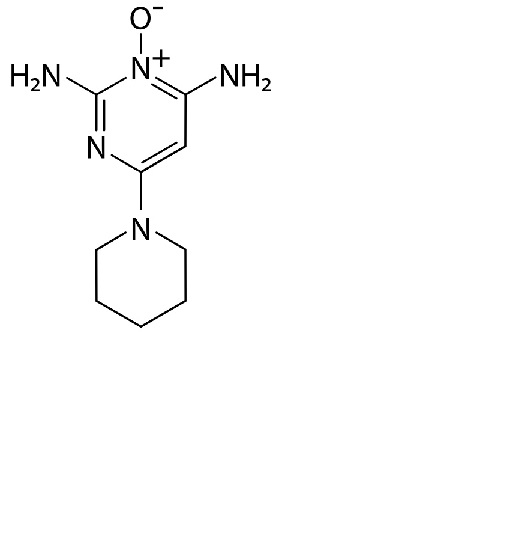
   Molekylstruktur  

Oral lösning
Kompatibilitet   Oral lösning   Kompatibilitet : Minoxidil              
Ingen uppgift

  Mentions Légales