Poslední aktualizace :
31/03/2026
Vasodilatans   Minoxidil  
Perorální roztok
Masti
Stabilita farmaceutických přípravků Stabilita směsí Faktory ovlivňující stabilitu Kompatibilita Odkazy pdf
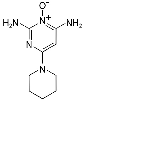
   Chemický vzorec  

Perorální roztok
Kompatibilita   Perorální roztok   Kompatibilita : Minoxidil              
žádná data

  Mentions Légales