Poslední aktualizace :
31/03/2026
Kraujagysles plečiantis vaistas   Minoxidil  
Geriamas tirpalas
Tepalai
Stabilumas farmacinių preparatų Mišinių stabilumas Stabilumą lemiantys veiksniai Suderinamumas Bibliografija pdf
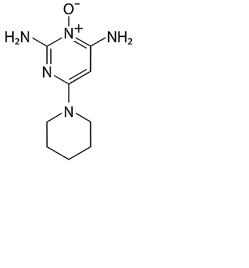
   Cheminė sandara  

Geriamas tirpalas
Suderinamumas   Geriamas tirpalas   Suderinamumas : Minoxidil              
Nėra duomenų

  Mentions Légales