آخر تحديث :
31/03/2026
موسع الشرايين   Minoxidil  
عن طريق الفم
المراهم
استقرار المستحضرات الصيدلانية استقرار مخاليط العوامل التي تؤثر على الاستقرار التوافق مراجع pdf
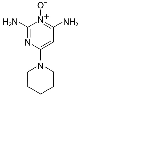
   التركيب الكيميائي  

عن طريق الفم
التوافق   عن طريق الفم     التوافق : Minoxidil              
لا توجد بيانات

  Mentions Légales