Posledná aktualizácia :
31/03/2026
vazodilatans   Minoxidil  
Perorálny roztok
Dermálny prípravok
Stabilita farmaceutických prípravkov Stabilita v zmesiach Faktory ovplyvňujúce stabilitu Kompatibility Odkazy na literatúru PDF
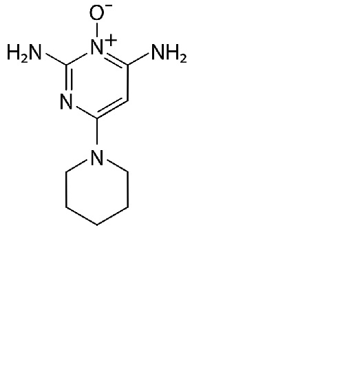
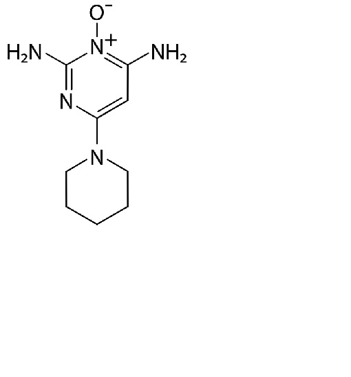
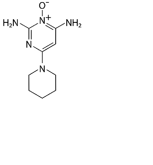
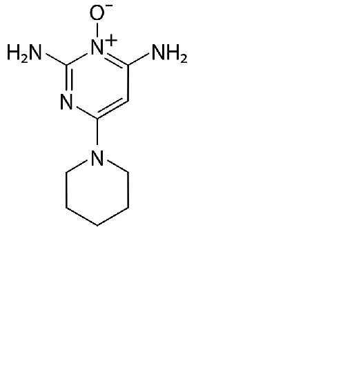
   Chemický vzorec  

Perorálny roztok
Kompatibility   Perorálny roztok   Kompatibility : Minoxidil              
žiadne údaje

  Mentions Légales