Dernière mise à jour :
31/03/2026
Vasodilatateur   Minoxidil  
Solution buvable
Forme dermique
Stabilité des préparations Stabilité en mélange Facteur influençant la stabilité Compatibilités Bibliographie pdf
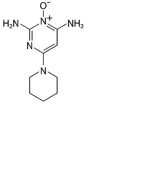
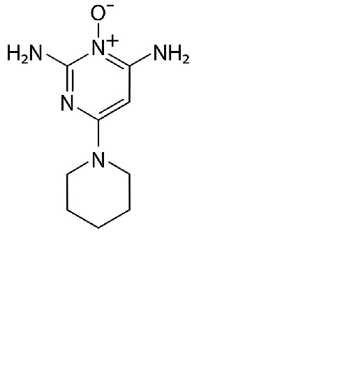
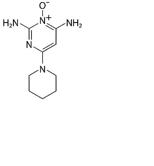
   Structure chimique  

Solution buvable
Compatibilités   Solution buvable   Compatibilités : Minoxidil              
Aucune donnée

  Mentions Légales