Cập nhật lần cuối :
18/03/2026
Thuốc hạ huyết áp   Nitrendipine  
Dung dịch uống
Tính ổn định của các chế phẩm Độ ổn định khi trộn lẫn Những yếu tố ảnh hưởng đến độ ổn định Khả năng tương thích Tài liệu tham khảo Pdf
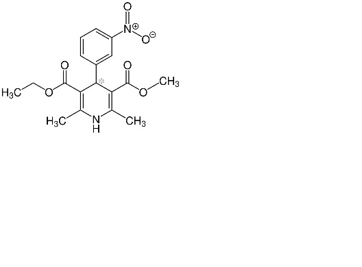
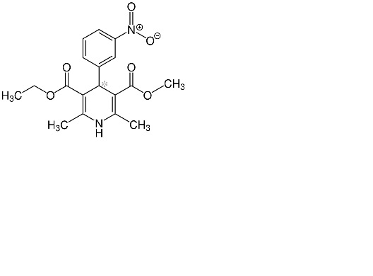
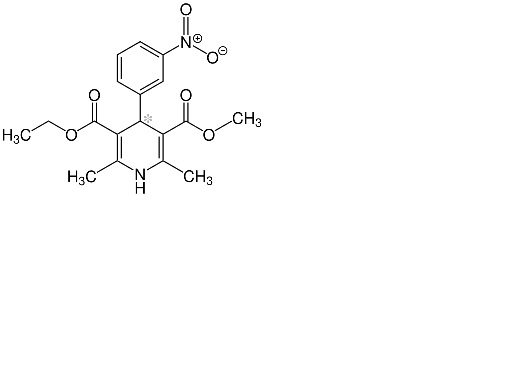
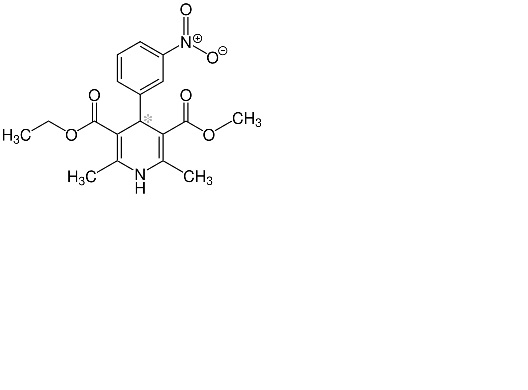
   Cấu trúc hóa học  

Dung dịch uống
Tính ổn định của các chế phẩm   Dung dịch uống   Tính ổn định của các chế phẩm : Nitrendipine     
Bao bì Nguyên bản Tá dược Nhiệt độ Bảo quản Thời gian ổn định Mục lục
Thủy tinh Các viên nén 500 mg
Nidrel®
SyrSpend SF PH4® >> 100 ml
23-25°C Tránh ánh sáng
90 Ngày
4087


  Mentions Légales