Utolsó frissítés :
05/12/2025
Vérnyomáscsökkentő   Nitrendipine  
belsőleges oldat
Stabilitása gyógyszerészeti készítmények A keverékek stabilitása Stabilitást befolyásoló tényezők Kompatibilitás Irodalom pdf
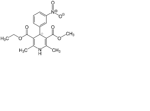
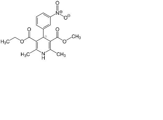
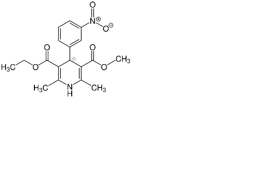
   Kémiai szerkezet   

belsőleges oldat
Stabilitása gyógyszerészeti készítmények   belsőleges oldat   Stabilitása gyógyszerészeti készítmények : Nitrendipine     
Csomagolás Origine segédanyag Hőmérséklet Tárolás A stabilitás időtartama Irodalom
Üveg tabletta 500 mg
Nidrel®
SyrSpend SF PH4® >> 100 ml
23-25°C Fénytől védve tartandó
90 Nap
4087


  Mentions Légales