Senaste uppdateringen :
18/03/2026
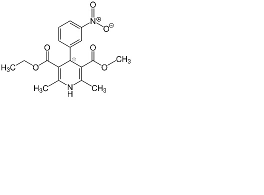
Antihypertensivum   Nitrendipine  
Oral lösning
Stabilitet av läkemedel Stabilitet i blandningar Faktorer som påverkar stabiliteten Kompatibilitet Hänvisningar pdf
   Molekylstruktur  

Oral lösning
Stabilitet av läkemedel   Oral lösning   Stabilitet av läkemedel : Nitrendipine     
Behållare Origine Hjälpämne Temperatur Förvaring Stabilitets varaktighet Hänvisningar
Glas Tabletter 500 mg
Nidrel®
SyrSpend SF PH4® >> 100 ml
23-25°C Skyddas från ljus
90 Dag
4087


  Mentions Légales