Poslední aktualizace :
03/02/2026
Hipotenzinis vaistas   Nitrendipine  
Geriamas tirpalas
Stabilumas farmacinių preparatų Mišinių stabilumas Stabilumą lemiantys veiksniai Suderinamumas Bibliografija pdf
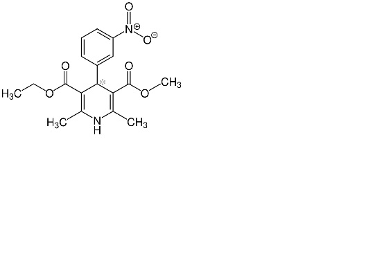
   Cheminė sandara  

Geriamas tirpalas
Stabilumas farmacinių preparatų   Geriamas tirpalas   Stabilumas farmacinių preparatų : Nitrendipine     
Pakuotė Origine Ekscipientas Temperatūra Laikymas Stabilumo trukmė Nuorodos
Stiklas Tabletės 500 mg
Nidrel®
SyrSpend SF PH4® >> 100 ml
23-25°C Apsaugotas nuo šviesos
90 Diena
4087


  Mentions Légales