Última actualización :
18/03/2026
Antihipertensor   Nitrendipine  
Solución Oral
La estabilidad de las preparaciones farmacéuticas Estabilidad en mezcla Factores que influyen sobre la estabilidad Compatibilidades Bibliografía pdf
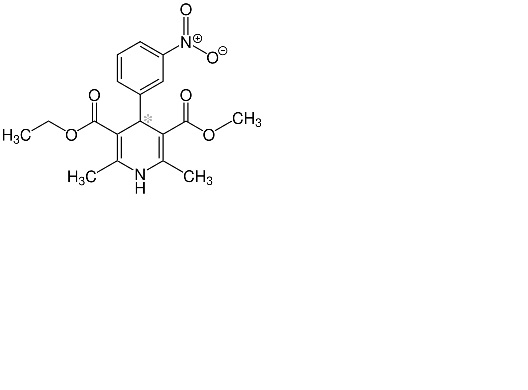
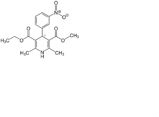
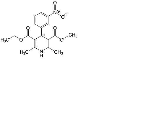
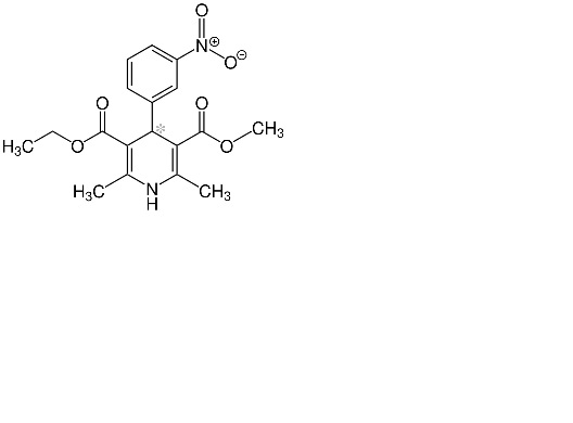
   Estructura química  

Solución Oral
La estabilidad de las preparaciones farmacéuticas   Solución Oral   La estabilidad de las preparaciones farmacéuticas : Nitrendipine     
Envase Origine Excipiente Temperatura Conservación Duración de la estabilidad Bibliografía
Vidrio Tabletas 500 mg
Nidrel®
SyrSpend SF PH4® >> 100 ml
23-25°C A cubierto de la luz
90 Día
4087


  Mentions Légales