zadnja posodobitev :
18/03/2026
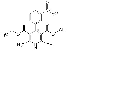
Antihipertenziv   Nitrendipine  
Peroralna raztopina
Stabilnost farmacevtskih preparatov Stabilnost mešanice Faktorji, ki vplivajo na stabilnost Kompatibilnost Viri pdf
   Kemična formula  

Peroralna raztopina
Stabilnost farmacevtskih preparatov   Peroralna raztopina   Stabilnost farmacevtskih preparatov : Nitrendipine     
Vsebnik Origine Ekscipient Temperatura Shranjevanje Trajanje stabilnosti Viri
Steklo Tablete 500 mg
Nidrel®
SyrSpend SF PH4® >> 100 ml
23-25°C Zaščiteno pred svetlobo
90 Dan
4087


  Mentions Légales