最新更新 :
05/12/2025
降圧薬   Nitrendipine  
経口液
調剤時の安定性 混合時の安定性 安定性に影響する因子 互換性 引用文献 PDF
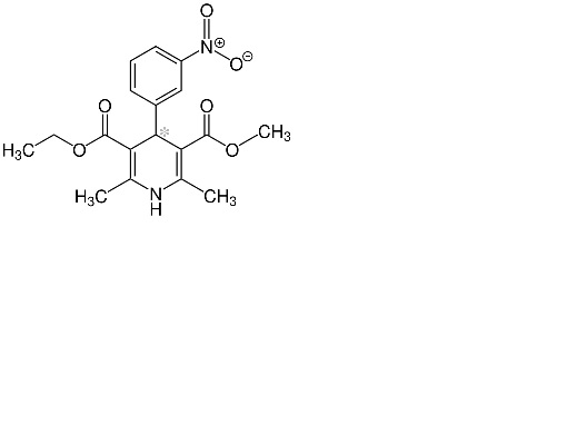
   化学構造  

経口液
調剤時の安定性   経口液   調剤時の安定性 : Nitrendipine     
容器 Origine 添加剤 温度 保管 安定期間 引用文献
ガラス 錠剤 500 mg
Nidrel®
SyrSpend SF PH4® >> 100 ml
23-25°C 遮光
90 日
4087


  Mentions Légales