Ultimo aggiornamento :
18/03/2026
Antipertensivo   Nitrendipine  
Soluzione orale
Stabilità dei preparati farmaceutici Stabilità in miscela Fattori che influenzano la stabilità Compatibilità Bibliografia pdf
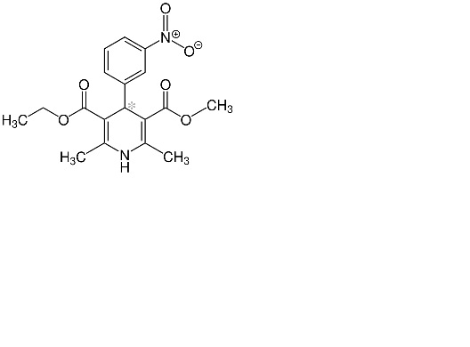
   Struttura chimica  

Soluzione orale
Stabilità dei preparati farmaceutici   Soluzione orale   Stabilità dei preparati farmaceutici : Nitrendipine     
contenitore Origine eccipiente Temperatura Conservazione Durata della stabilità Bibliografia
Vetro compresse 500 mg
Nidrel®
SyrSpend SF PH4® >> 100 ml
23-25°C Al riparo dalla luce
90 Giorno
4087


  Mentions Légales