Posledná aktualizácia :
18/03/2026
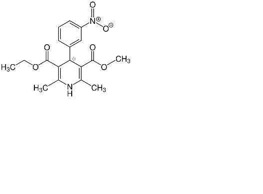
antihypertenzívum   Nitrendipine  
Perorálny roztok
Stabilita farmaceutických prípravkov Stabilita v zmesiach Faktory ovplyvňujúce stabilitu Kompatibility Odkazy na literatúru PDF
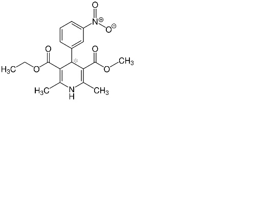
   Chemický vzorec  

Perorálny roztok
Stabilita farmaceutických prípravkov   Perorálny roztok   Stabilita farmaceutických prípravkov : Nitrendipine     
obal Pôvod Pomocná látka teplota uchovávanie Trvanie stability odkazy na lieteratúru
Sklo Tablety 500 mg
Nidrel®
SyrSpend SF PH4® >> 100 ml
23-25°C Chránené pred svetlom
90 dní
4087


  Mentions Légales