Dernière mise à jour :
18/03/2026
Antihypertenseur   Nitrendipine  
Solution buvable
Stabilité des préparations Stabilité en mélange Facteur influençant la stabilité Compatibilités Bibliographie pdf
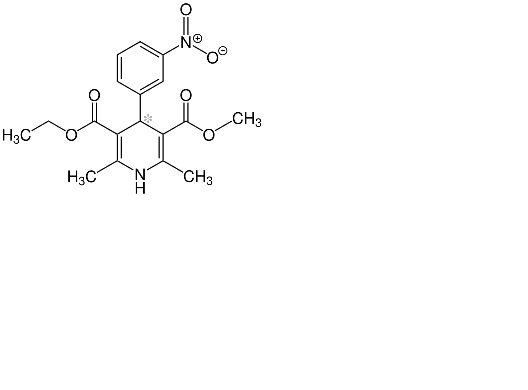
   Structure chimique  

Solution buvable
Stabilité des préparations   Solution buvable   Stabilité des préparations : Nitrendipine     
Contenant Origine Excipient Température Conservation Durée de stabilité Bibliographie
Verre Comprimés 500 mg
Nidrel®
SyrSpend SF PH4® >> 100 ml
23-25°C A l’abri de la lumière
90 Jour
4087


  Mentions Légales