Son güncelleme :
18/03/2026
Çeşitli   Baclofen  
Merhem
Enjeksiyon Oral solüsyon / oral çözelti
Farmasötik preparatlar Kararlılığı Karışımlardaki stabilitesi Stabiliteyi etkileyen faktörler Uyumluluk Kaynaklar pdf
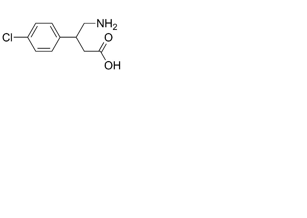
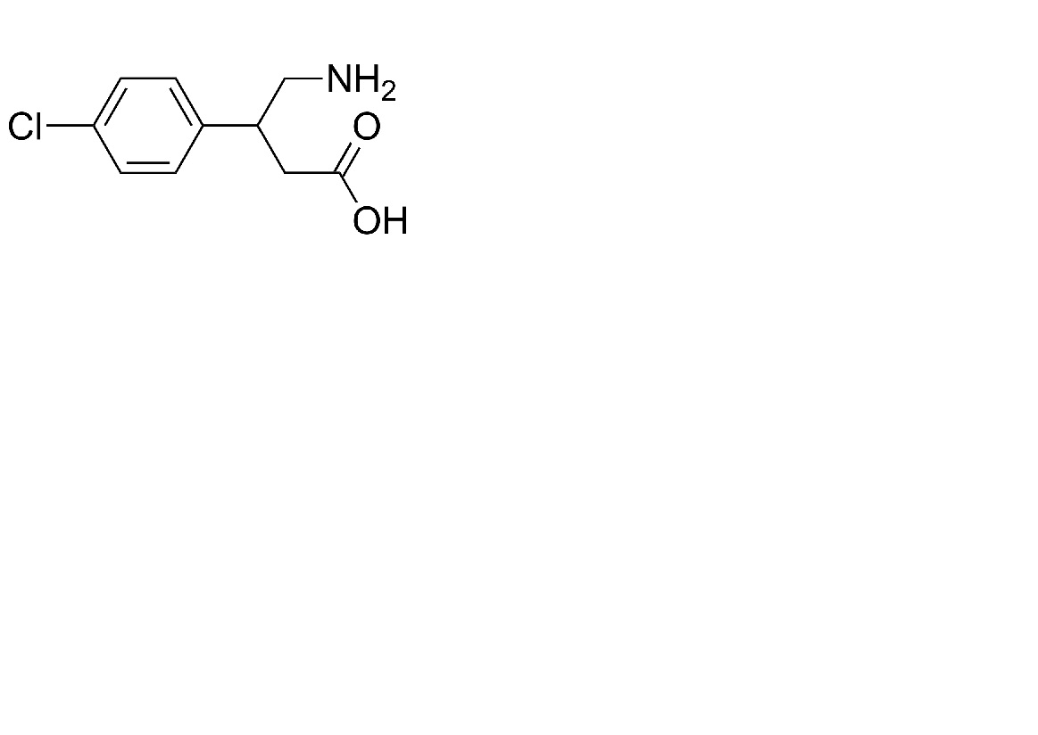
   Kimyasal yapı   

Merhem
Farmasötik preparatlar Kararlılığı   Merhem   Farmasötik preparatlar Kararlılığı : Baclofen     
veri yok

  Mentions Légales