Zadnji put ažurirano :
12/12/2025
razno   Baclofen  
masti
injekcija oralna otopina
Stabilnost farmaceutskih pripravaka Stabilnost mješavine Stabilizacijski faktor Kompatibilnosti Bibliografija pdf
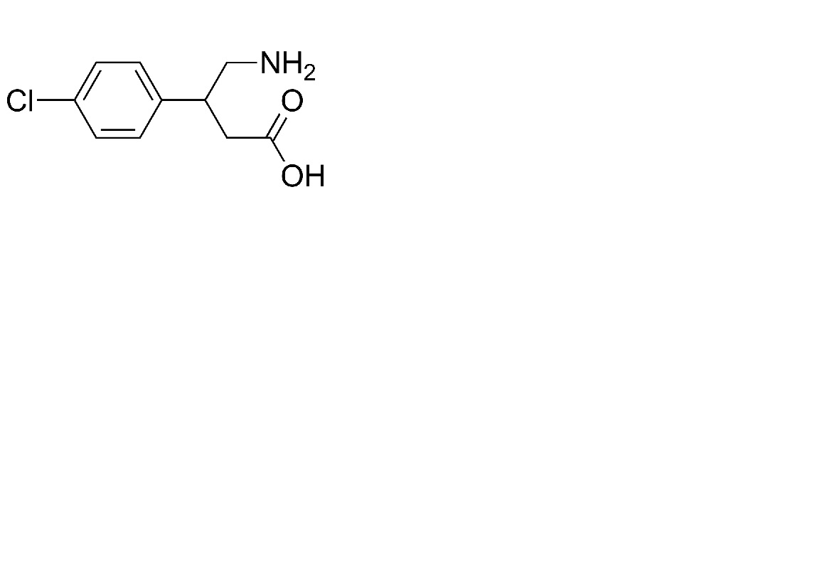
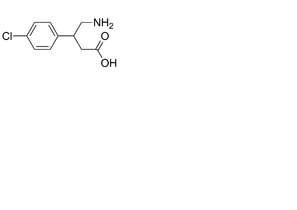
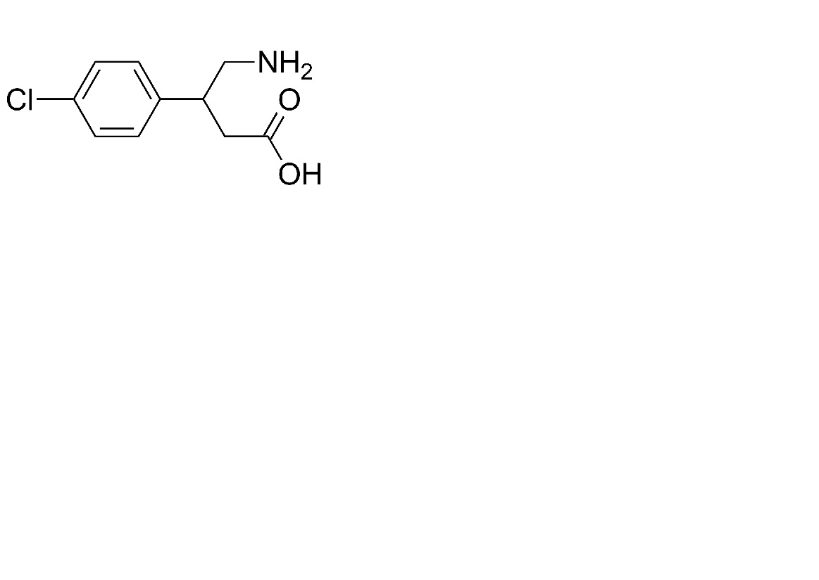
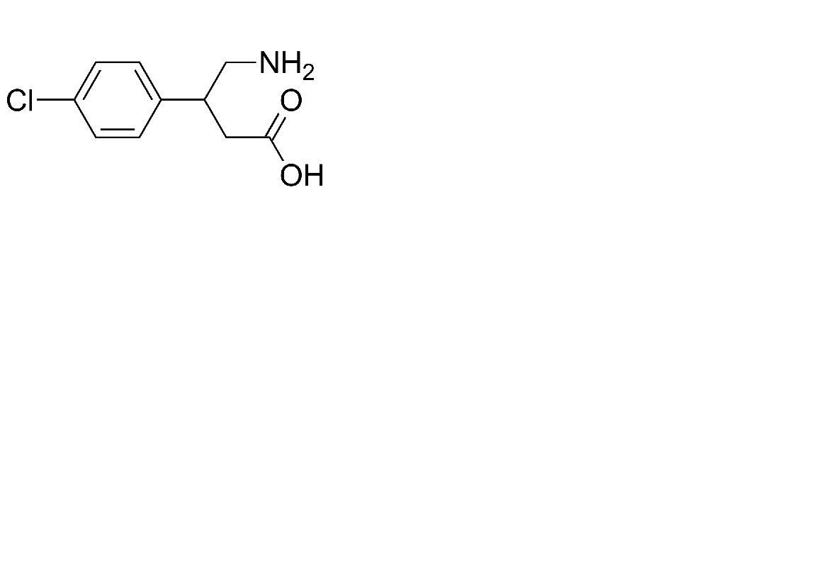
   Kemijska struktura  

masti
Stabilnost farmaceutskih pripravaka   masti   Stabilnost farmaceutskih pripravaka : Baclofen     
bez podataka

  Mentions Légales