Последно актуализиране :
18/03/2026
Други   Baclofen  
Унгвент/Унгвенти
Инжекция/Инжекционен Орален разтвор
Стабилност на лекарствени препарати Стабилност на смеси Фактори, повлияващи стабилността Съвместимост Библиография Pdf
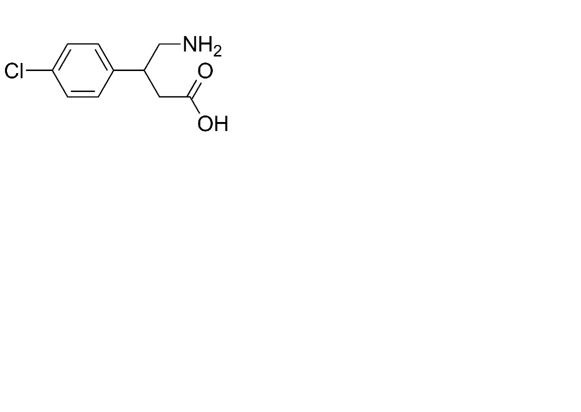
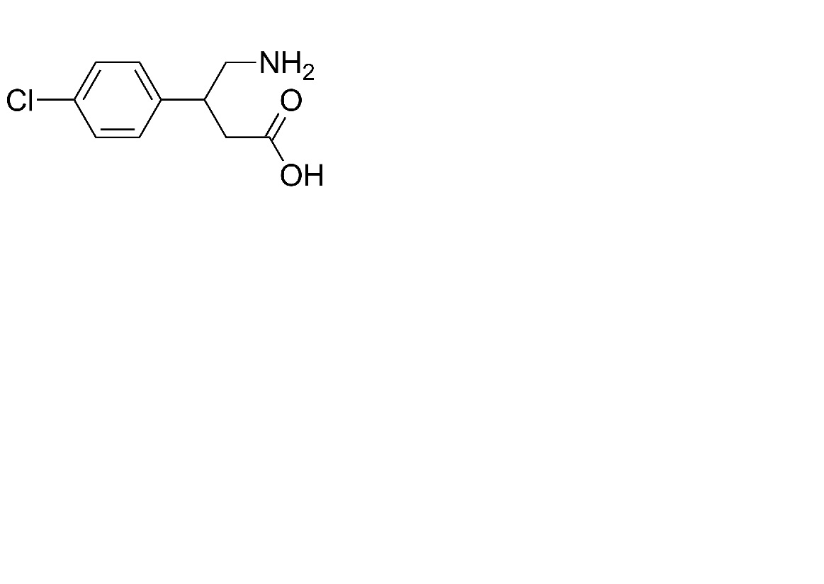
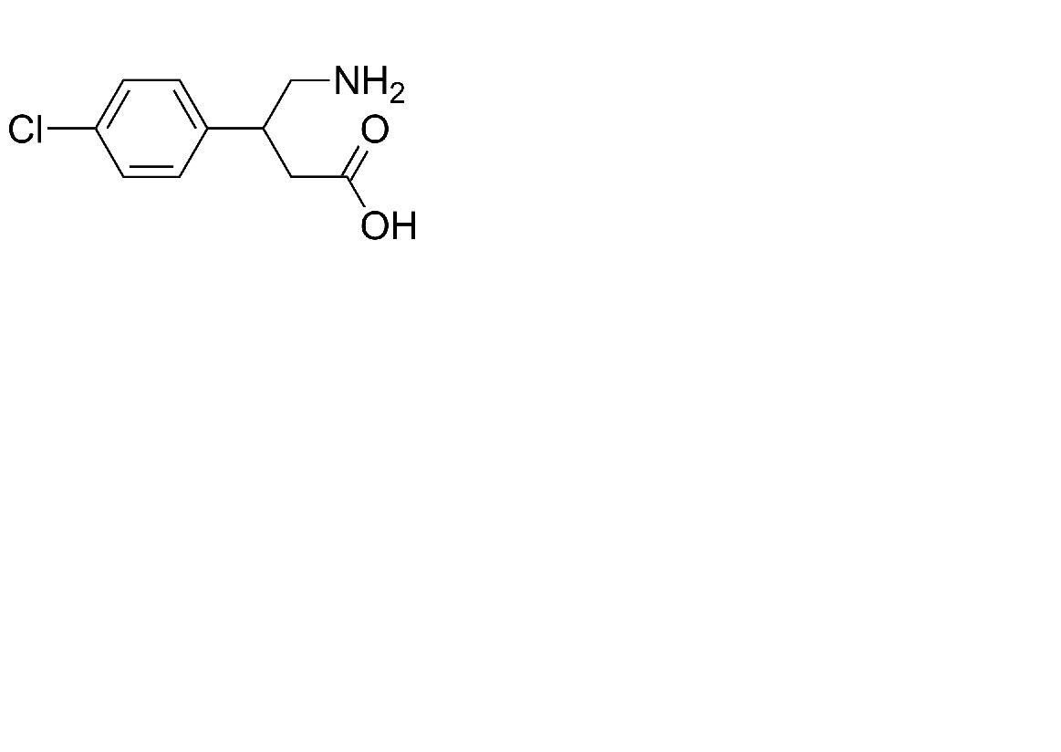
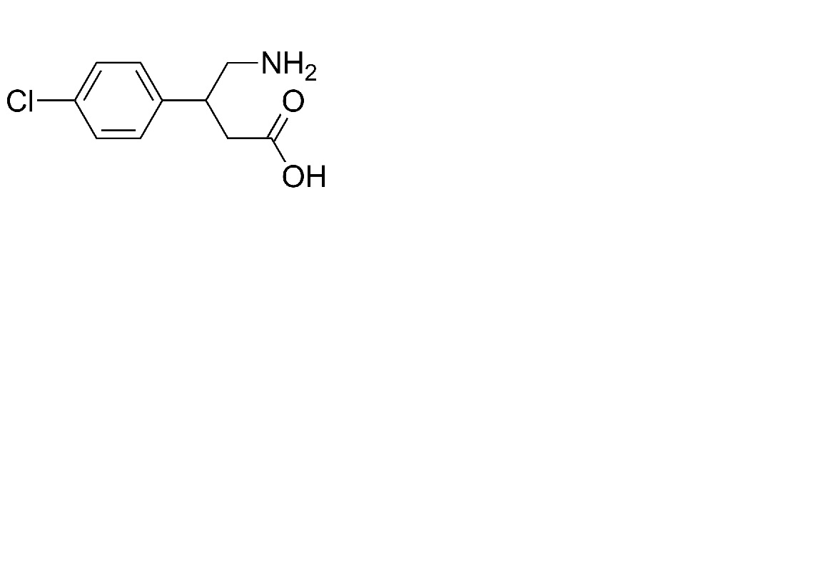
   Химична структура  

Унгвент/Унгвенти
Стабилност на лекарствени препарати   Унгвент/Унгвенти   Стабилност на лекарствени препарати : Baclofen     
Няма данни

  Mentions Légales