Ultimo aggiornamento :
05/12/2025
Altro   Baclofen  
Unguenti
Iniezione Soluzione orale
Stabilità dei preparati farmaceutici Stabilità in miscela Fattori che influenzano la stabilità Compatibilità Bibliografia pdf
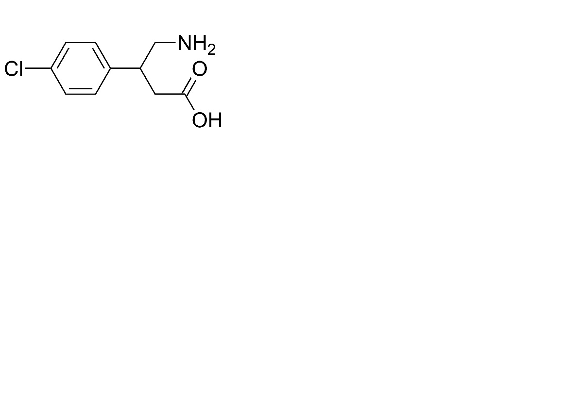
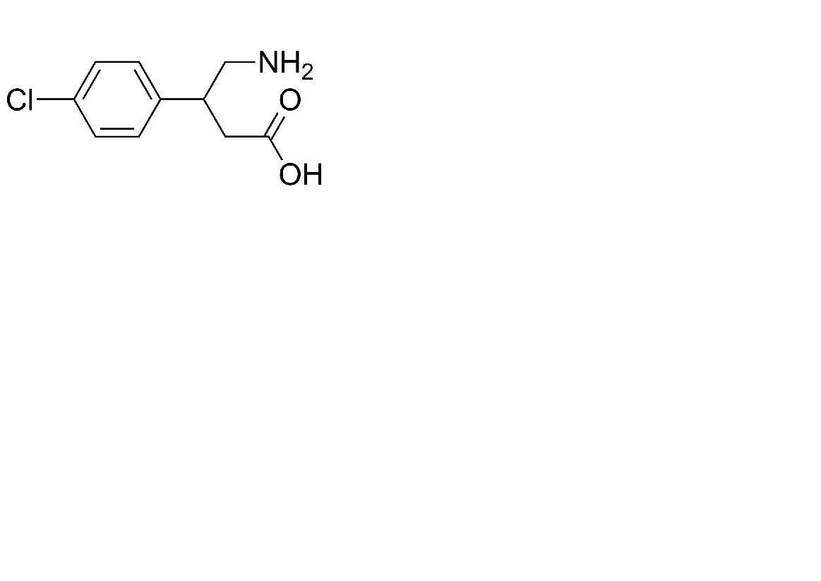
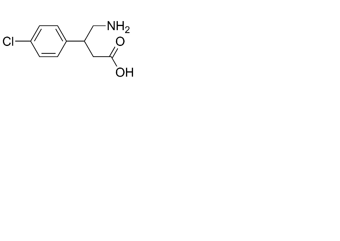
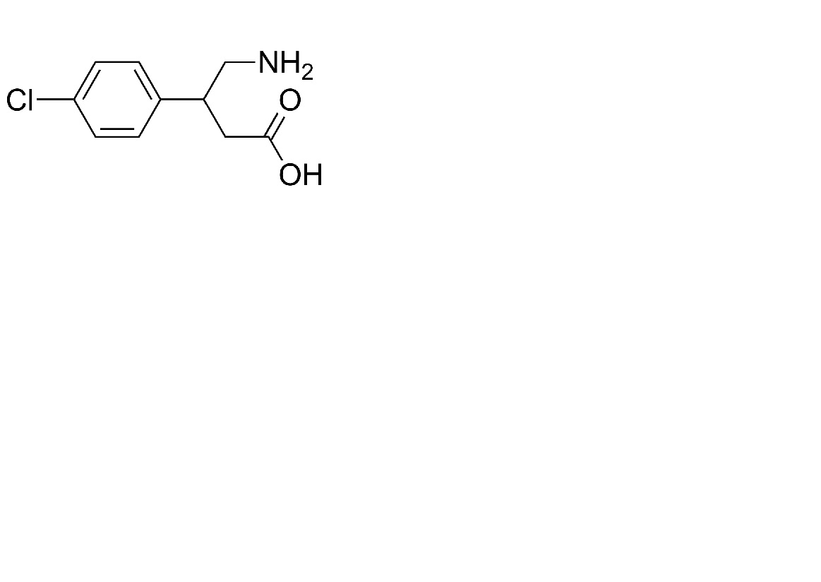
   Struttura chimica  

Unguenti
Stabilità dei preparati farmaceutici   Unguenti   Stabilità dei preparati farmaceutici : Baclofen     
Assenza di dati

  Mentions Légales