Siste oppdatering :
05/12/2025
Forskjellig   Baclofen  
Salver
Injeksjon Mikstur
Stabilitet av farmasøytiske preparater Stabilitet i blandinger Faktorer som påvirker stabiliteten Kompatibilitet Referanser pdf
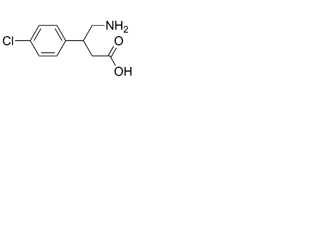
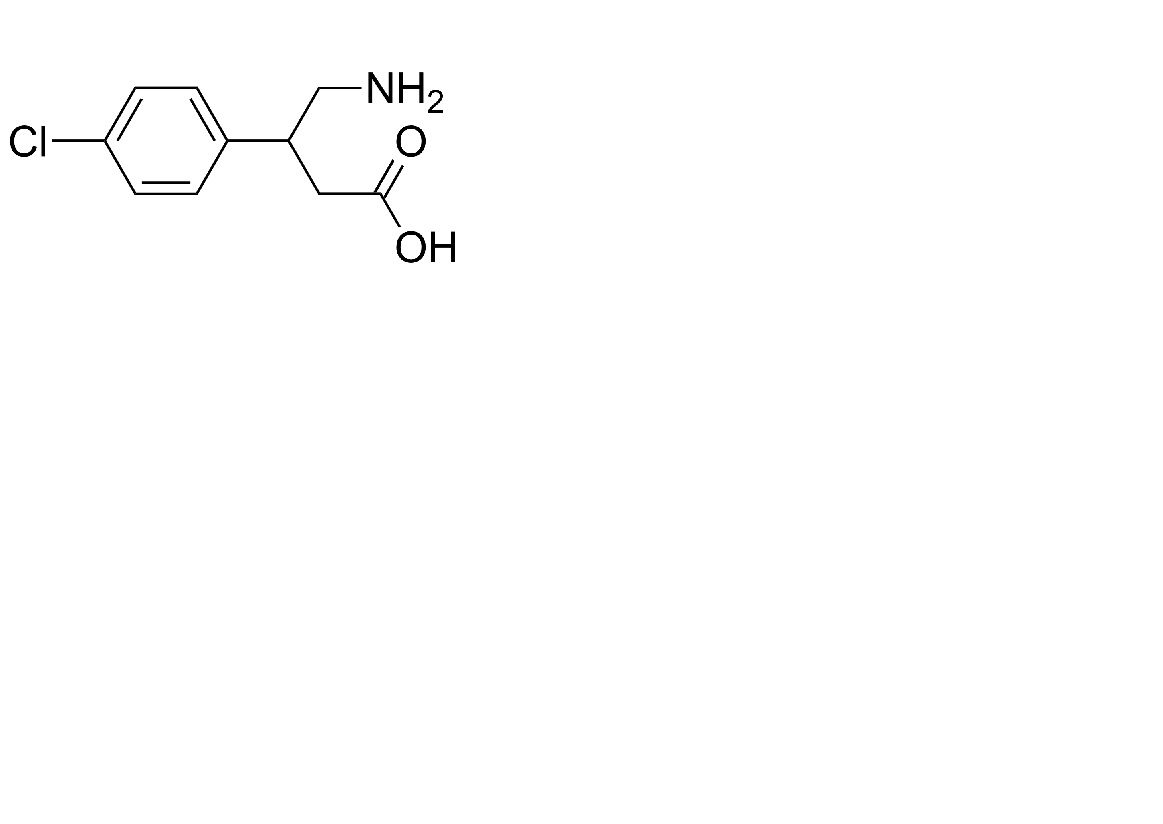
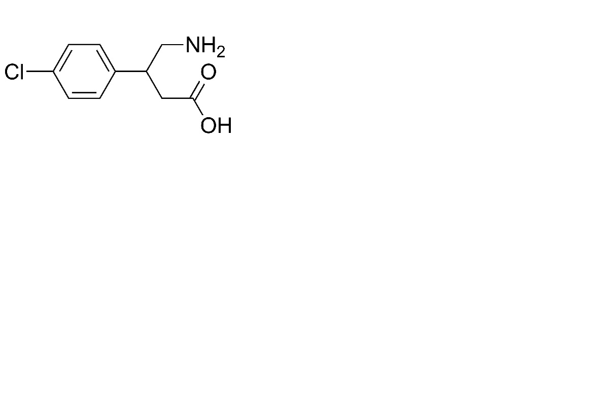
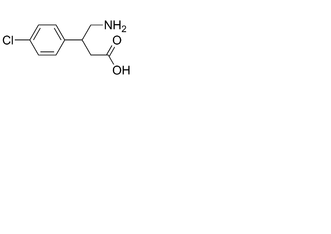
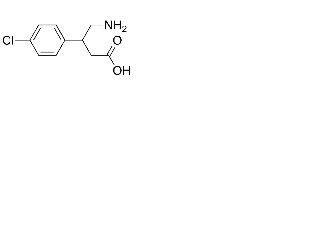
   Kjemisk struktur  

Salver
Stabilitet av farmasøytiske preparater   Salver   Stabilitet av farmasøytiske preparater : Baclofen     
Ingen opplysninger

  Mentions Légales