Dernière mise à jour :
17/12/2025
Divers   Baclofen  
Forme dermique
injectable Solution buvable
Stabilité des préparations Stabilité en mélange Facteur influençant la stabilité Compatibilités Bibliographie pdf
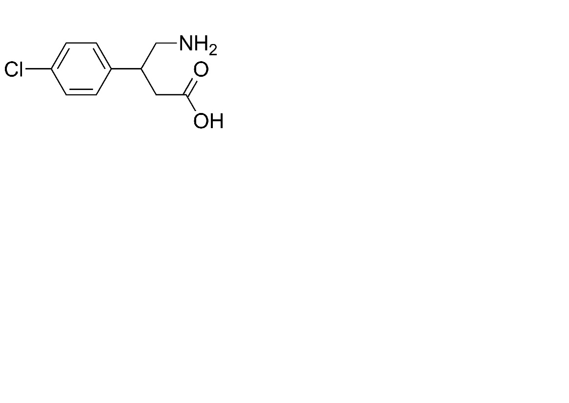
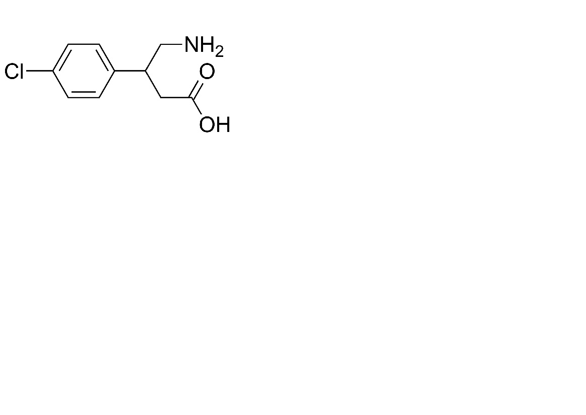
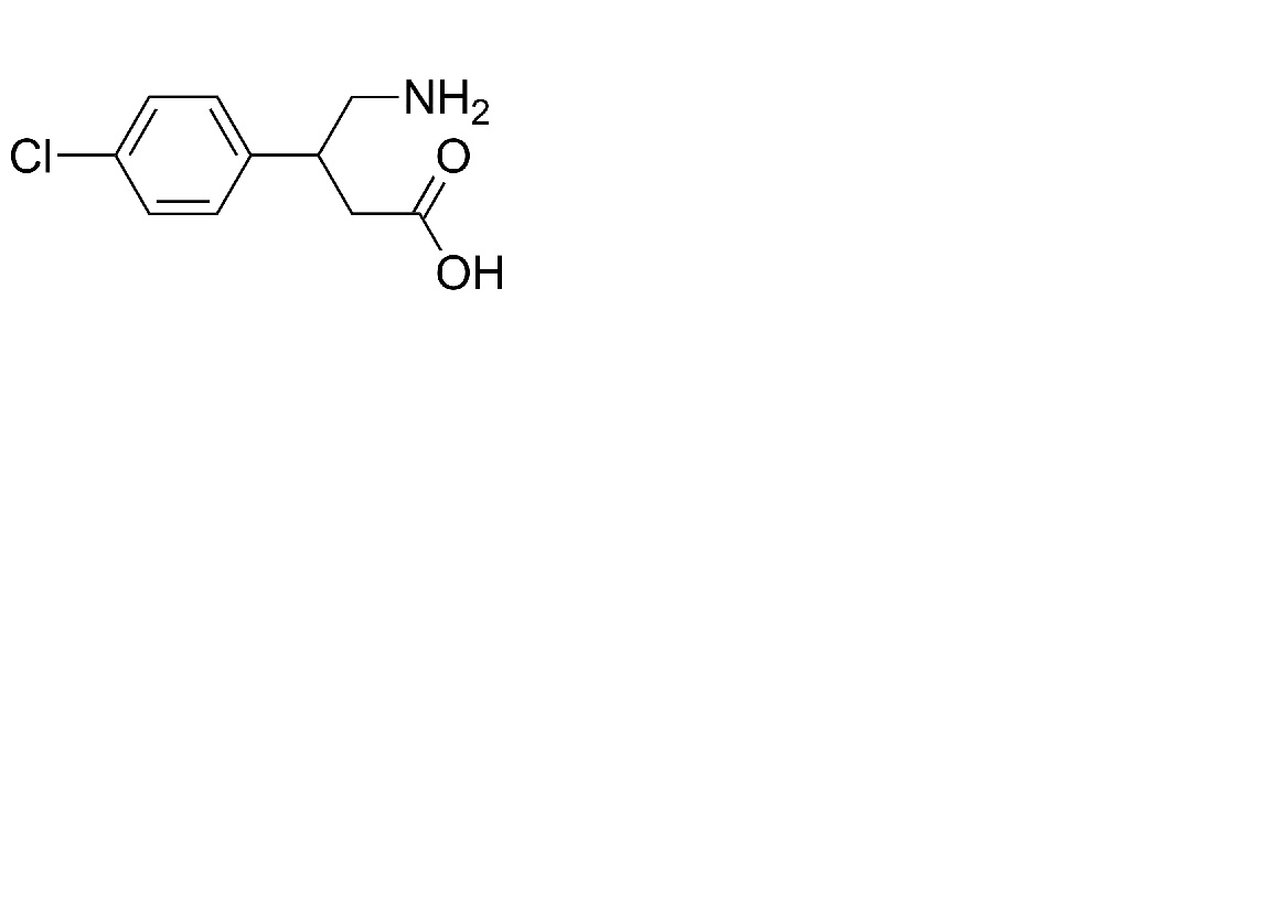
   Structure chimique  

Forme dermique
Stabilité des préparations   Forme dermique   Stabilité des préparations : Baclofen     
Aucune donnée

  Mentions Légales