Posledná aktualizácia :
17/12/2025
rôzne   Baclofen  
Dermálny prípravok
Injekcia Perorálny roztok
Stabilita farmaceutických prípravkov Stabilita v zmesiach Faktory ovplyvňujúce stabilitu Kompatibility Odkazy na literatúru PDF
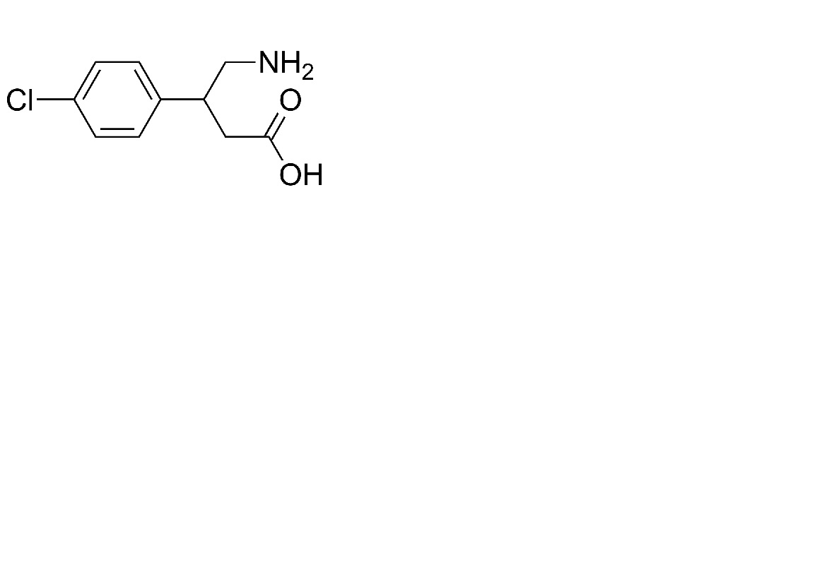
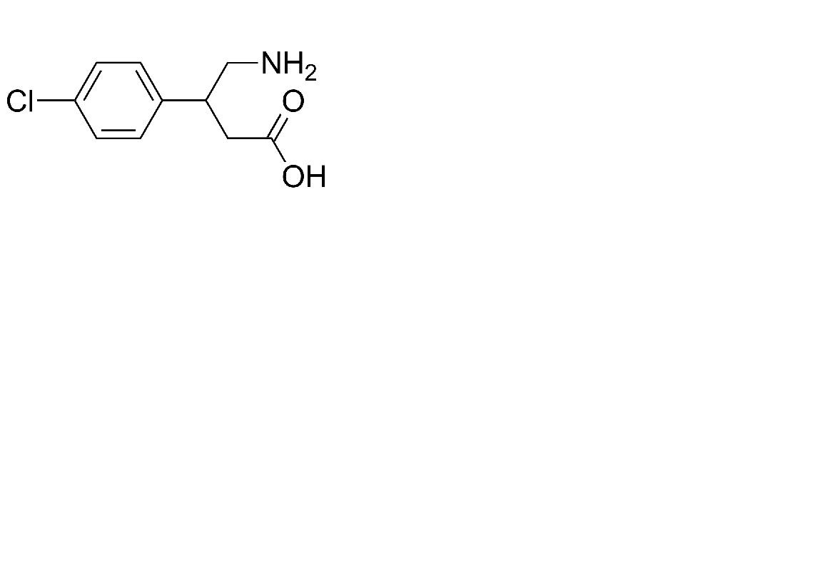
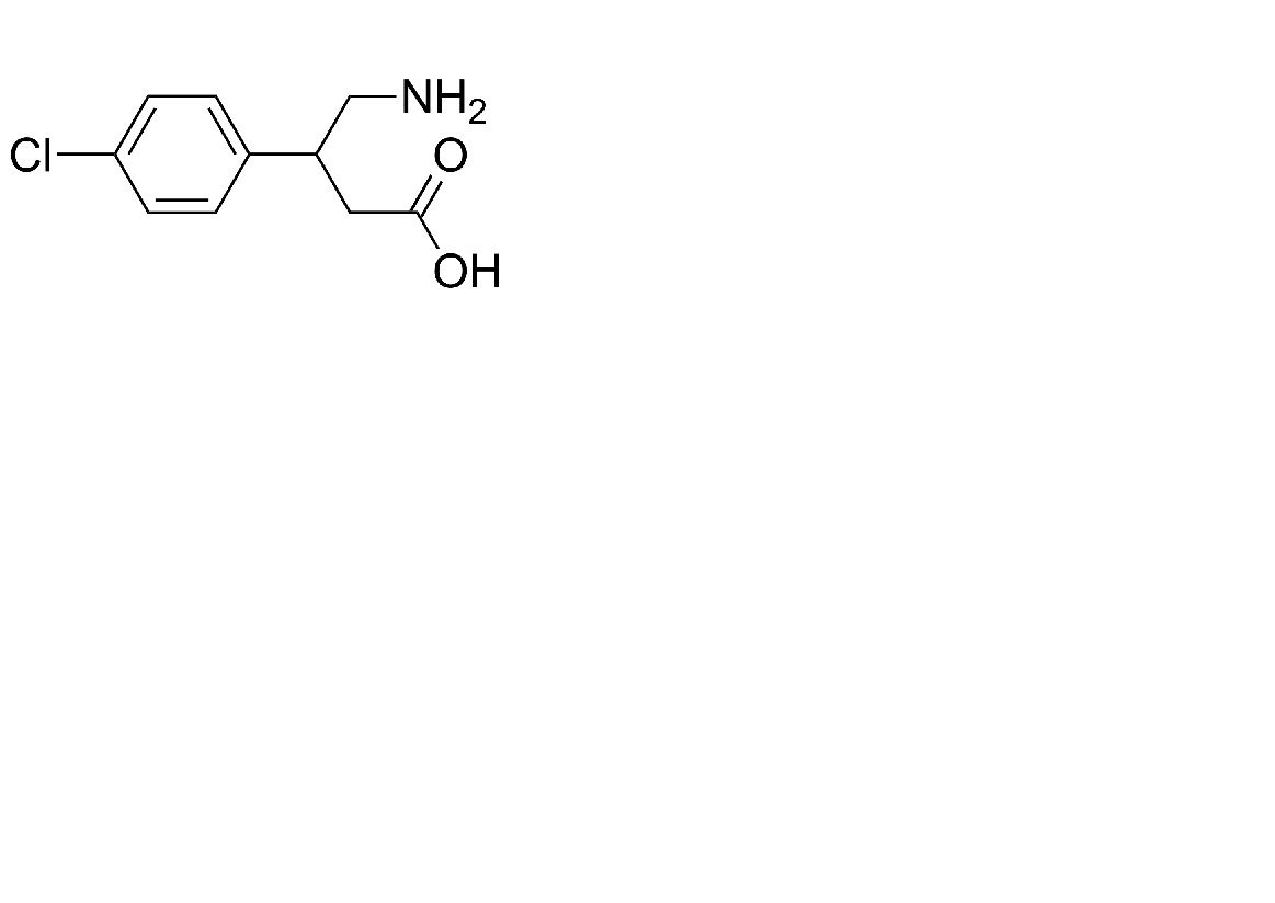
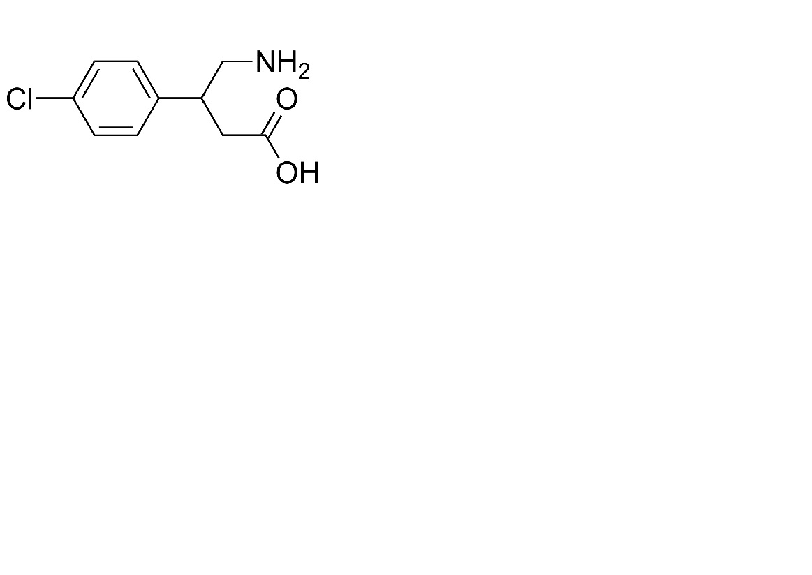
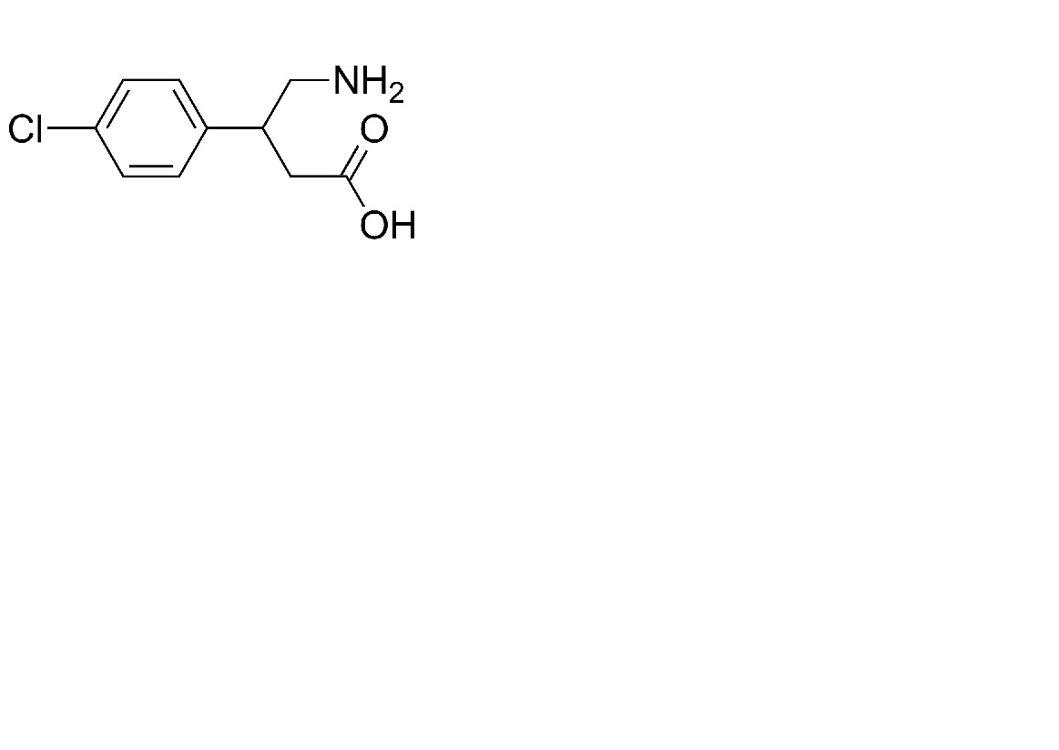
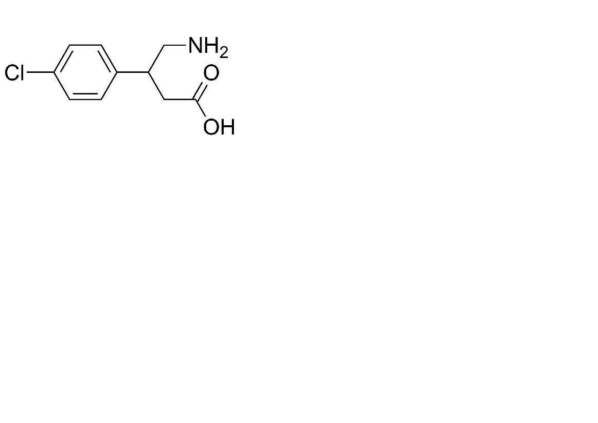
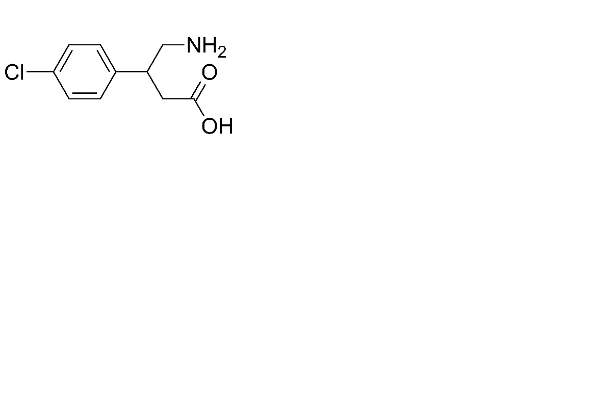
   Chemický vzorec  

Dermálny prípravok
Stabilita farmaceutických prípravkov   Dermálny prípravok   Stabilita farmaceutických prípravkov : Baclofen     
žiadne údaje

  Mentions Légales