最新更新 :
18/03/2026
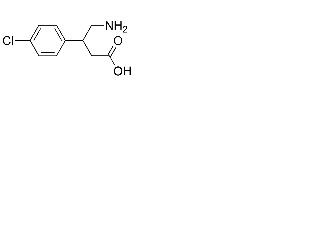
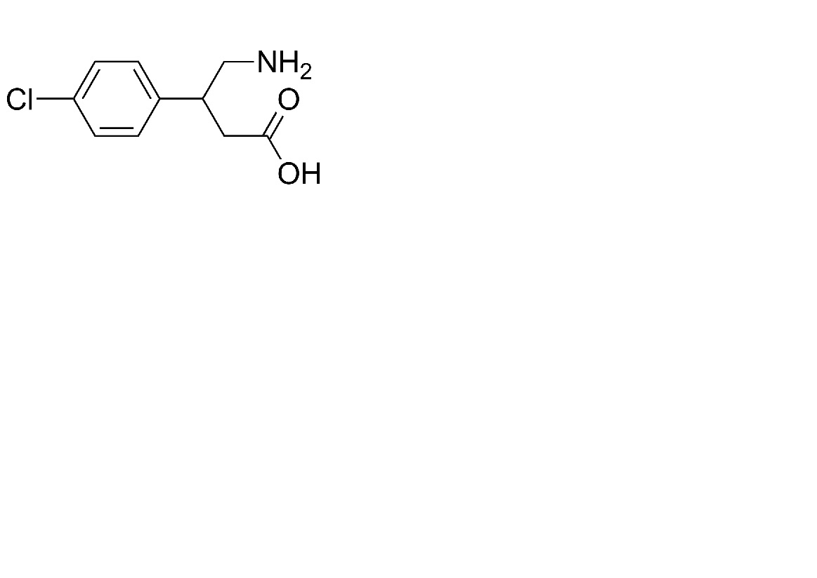
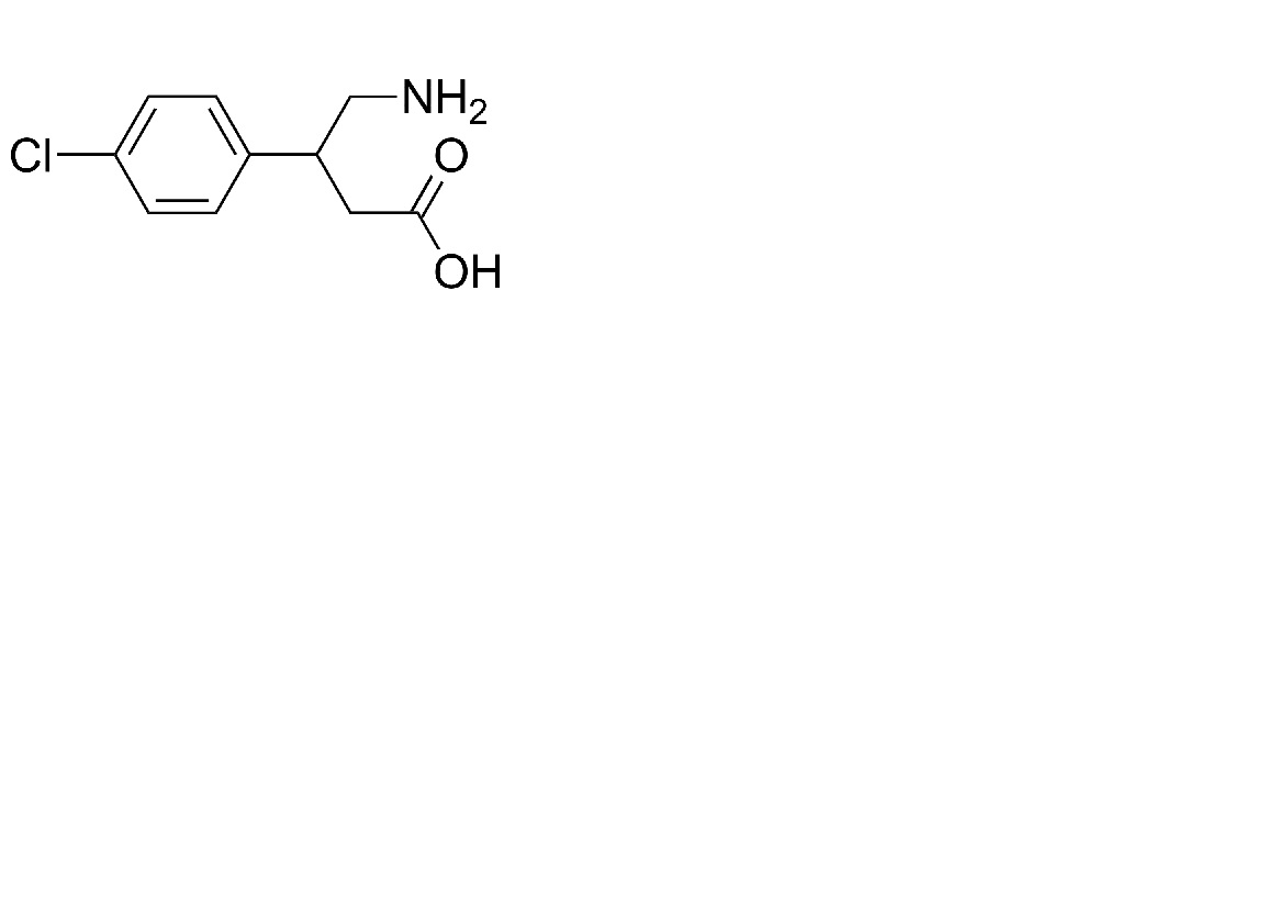
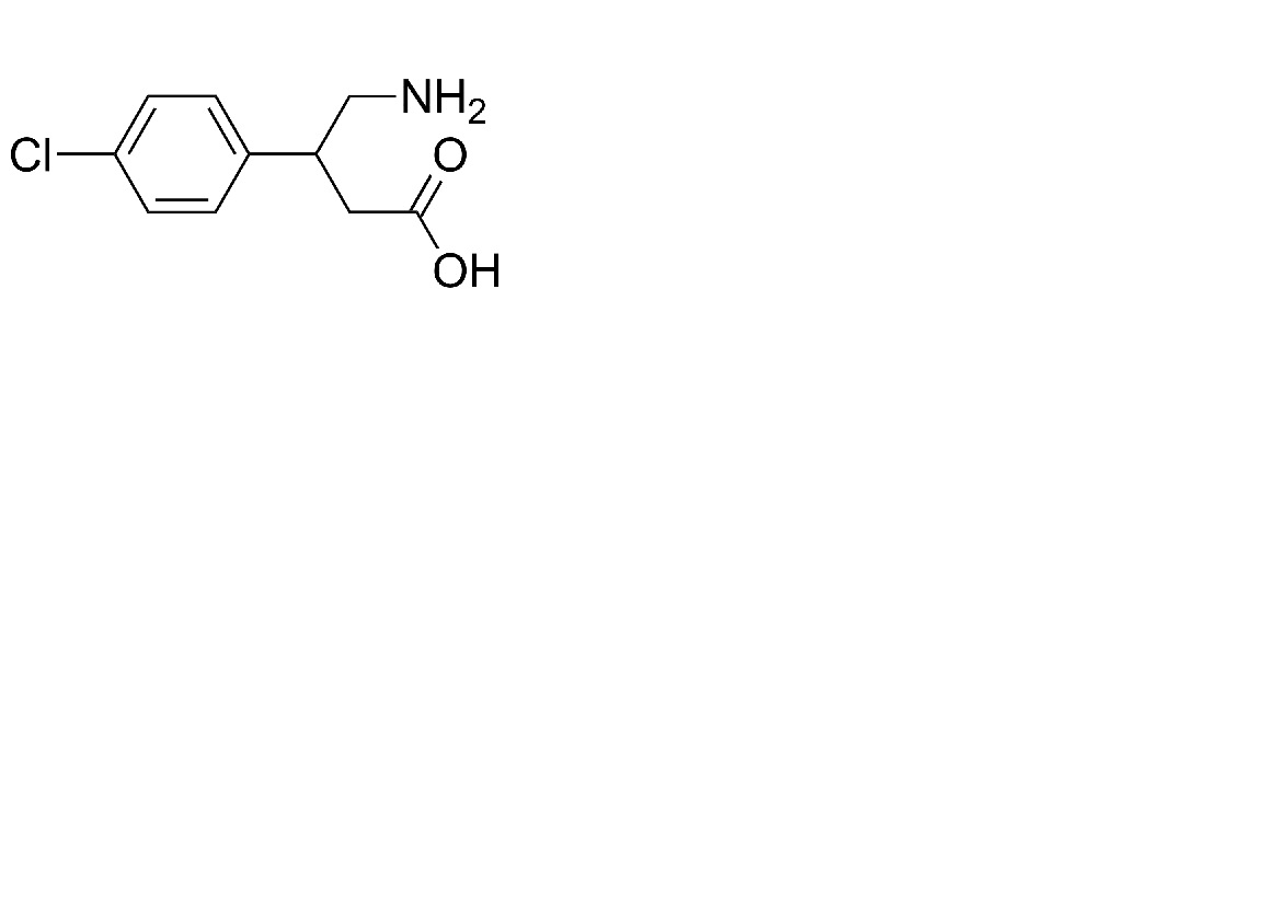
其它   Baclofen  
药膏
口服剂 注射液
制剂的稳定性 混合物稳定性 影响稳定性的因素 兼容性 引用文献 PDF
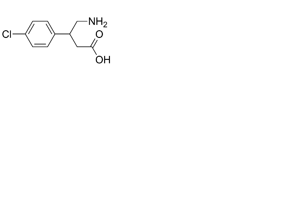
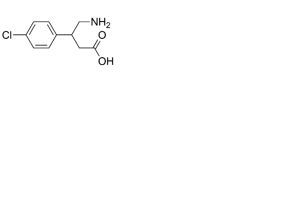
   化学式  

药膏
制剂的稳定性   药膏   制剂的稳定性 : Baclofen     
无数据

  Mentions Légales