Última actualización :
18/03/2026
Varios   Baclofen  
Preparaciones tópicas
Inyectables Solución Oral
La estabilidad de las preparaciones farmacéuticas Estabilidad en mezcla Factores que influyen sobre la estabilidad Compatibilidades Bibliografía pdf
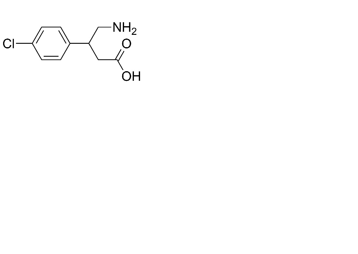
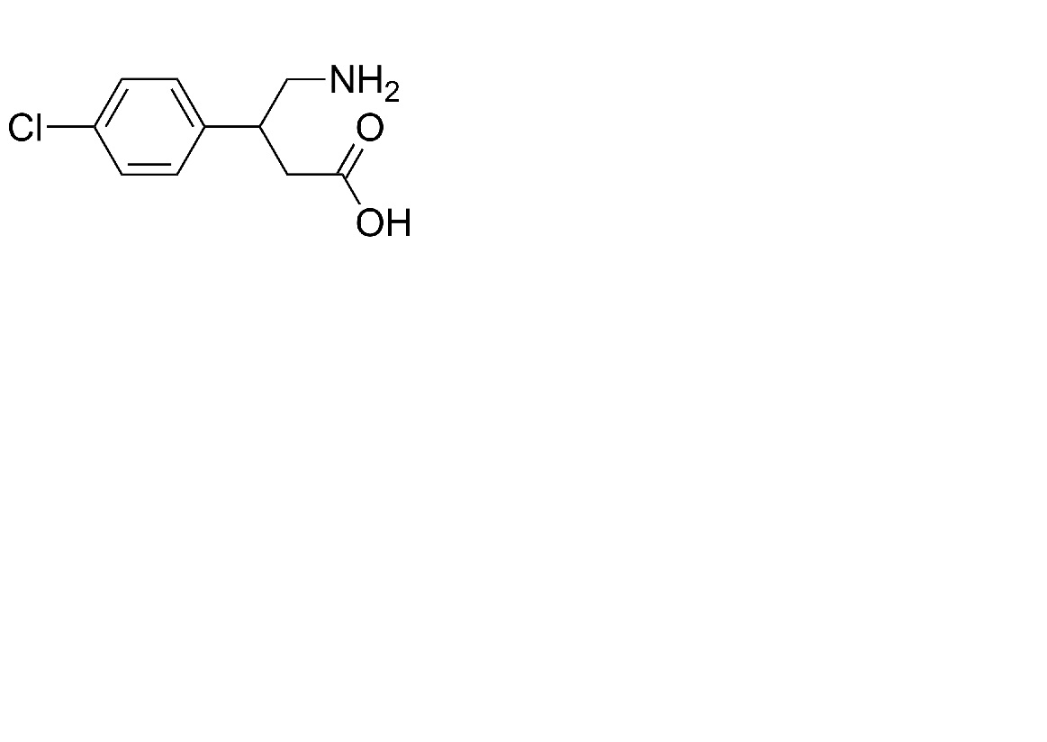
   Estructura química  

Preparaciones tópicas

Factores que influyen sobre la estabilidad   Preparaciones tópicas   Factores que influyen sobre la estabilidad : Baclofen        
Ausencia de datos

  Mentions Légales