Τελευταία ενημέρωση :
18/03/2026
Λοιπά   Baclofen  
Αλοιφές
Ενέσιμο Πόσιμο διάλυμα
Σταθερότητα και συμβατότητα των φαρμάκων Σταθερότητα σε μίγματα Παράγοντας που επηρεάζει τη σταθερότητα Συμβατότητες Βιβλιογραφία pdf
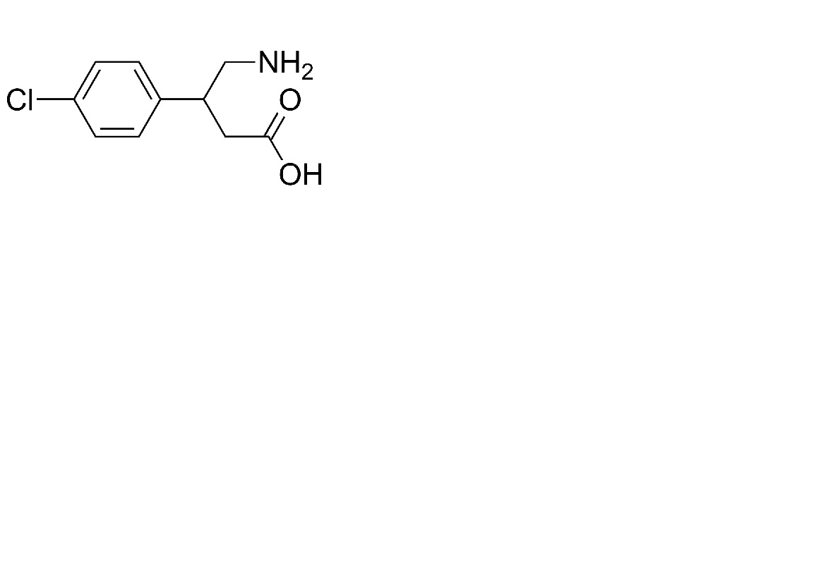
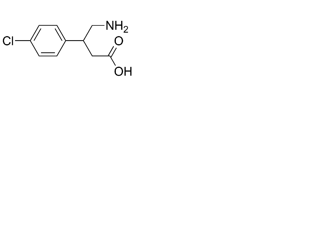
   χημική δομή  

Αλοιφές

Παράγοντας που επηρεάζει τη σταθερότητα   Αλοιφές   Παράγοντας που επηρεάζει τη σταθερότητα : Baclofen        
Δεν υπάρχουν πληροφορίες

  Mentions Légales