Posledná aktualizácia :
18/03/2026
rôzne   Baclofen  
Dermálny prípravok
Injekcia Perorálny roztok
Stabilita farmaceutických prípravkov Stabilita v zmesiach Faktory ovplyvňujúce stabilitu Kompatibility Odkazy na literatúru PDF
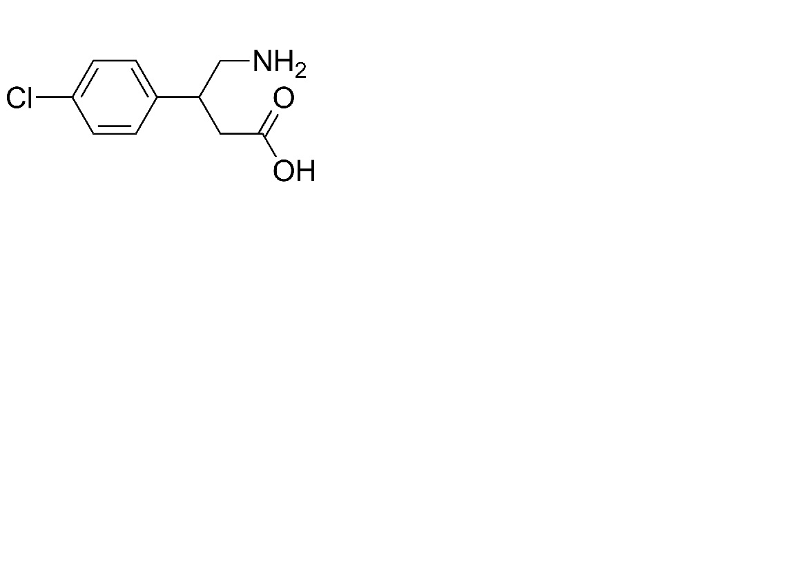
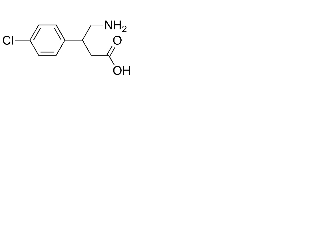
   Chemický vzorec  

Dermálny prípravok

Faktory ovplyvňujúce stabilitu   Dermálny prípravok   Faktory ovplyvňujúce stabilitu : Baclofen        
žiadne údaje

  Mentions Légales