آخر تحديث :
18/03/2026
مختلف   Baclofen  
المراهم
حقن عن طريق الفم
استقرار المستحضرات الصيدلانية استقرار مخاليط العوامل التي تؤثر على الاستقرار التوافق مراجع pdf
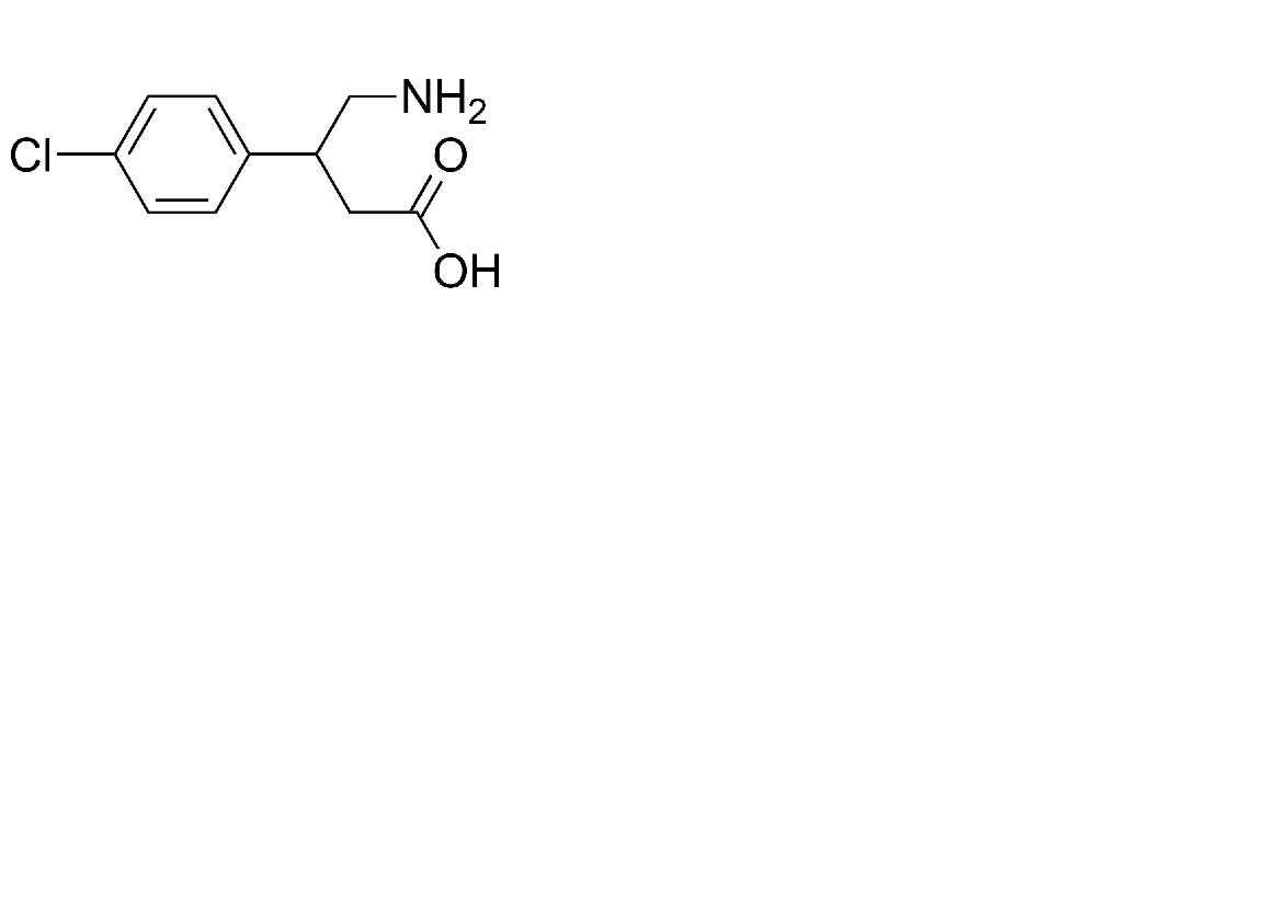
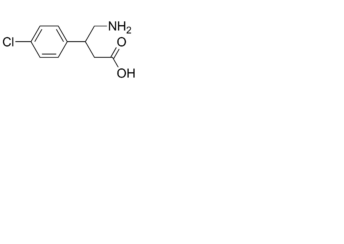
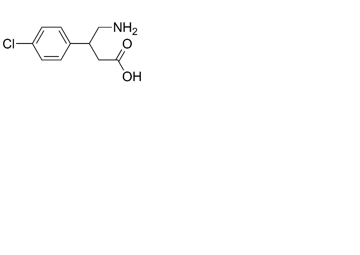
   التركيب الكيميائي  

المراهم

العوامل التي تؤثر على الاستقرار   المراهم   العوامل التي تؤثر على الاستقرار : Baclofen        
لا توجد بيانات

  Mentions Légales