Последнее обновление :
18/03/2026
Разное   Baclofen  
Мази
Инъекция Раствор для перорального приёма
Стабильность фармацевтических препаратов Стабильность смесей Факторы, которые влияют на стабильность Совместимость Библиография pdf
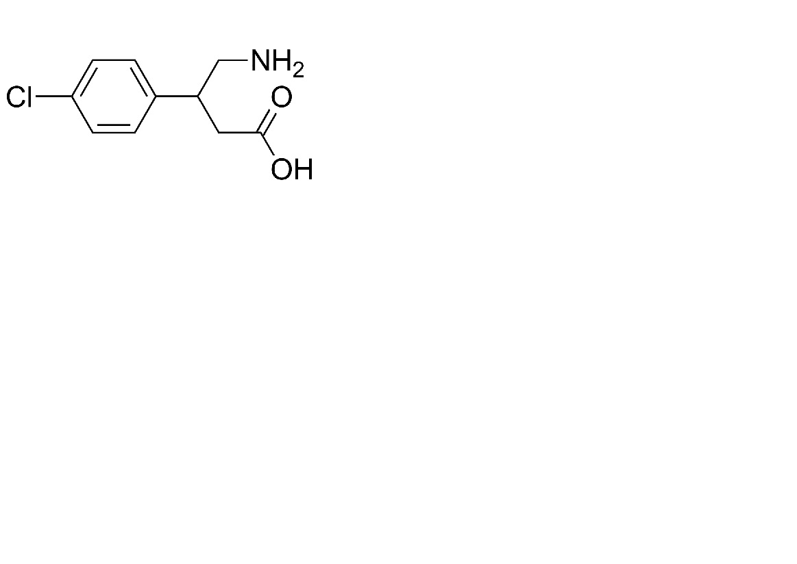
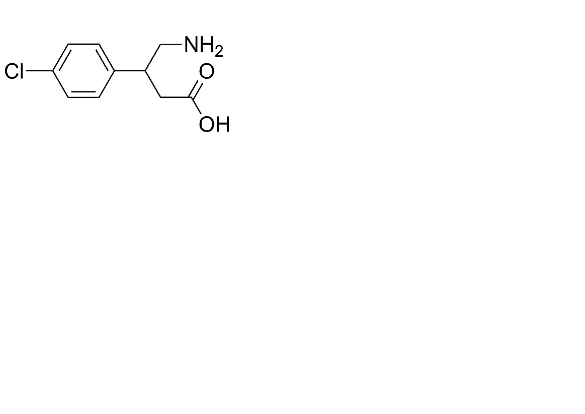
   Химическая структура  

Мази

Факторы, которые влияют на стабильность   Мази   Факторы, которые влияют на стабильность : Baclofen        
данных нет

  Mentions Légales