Laatste update :
18/03/2026
Diverse   Baclofen  
zalf
injecteerbaar geneesmiddel Orale Oplossing
Stabiliteit van farmaceutische preparaten Stabiliteit in mengsels Factoren die de stabiliteit beïnvloeden Verenigbaarheden Literatuur pdf
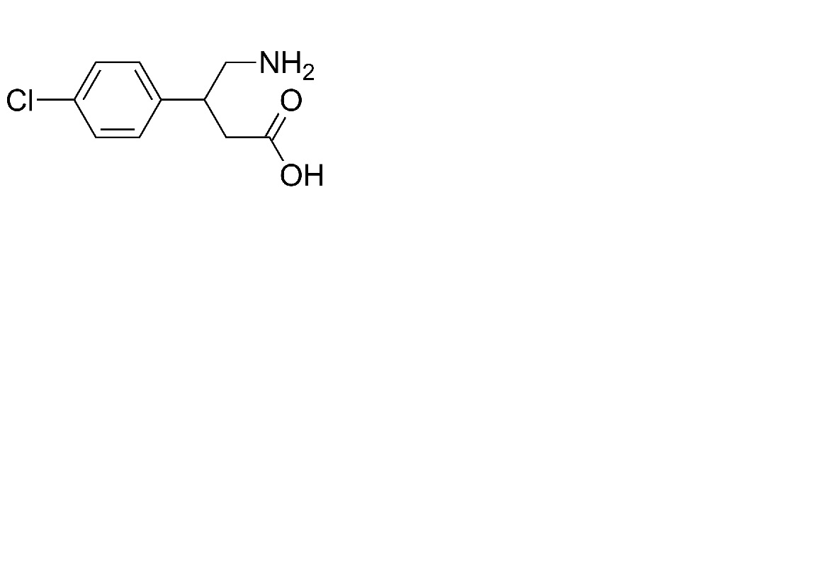
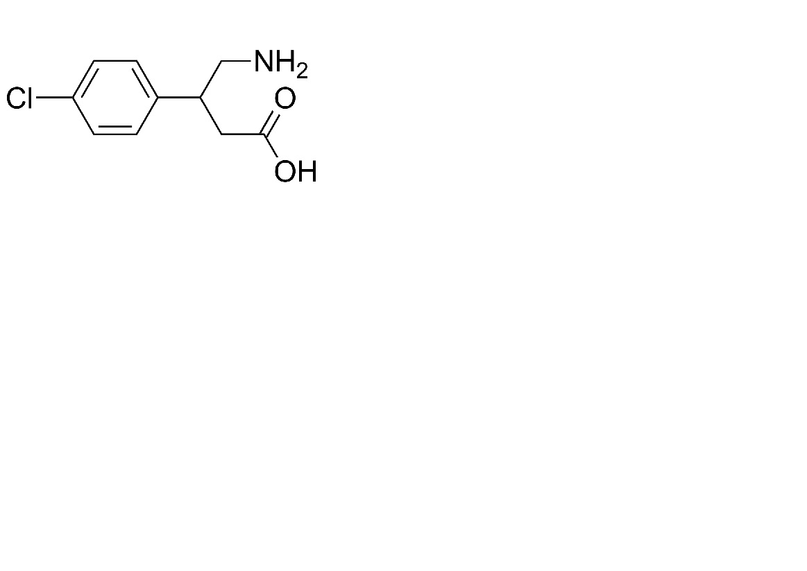
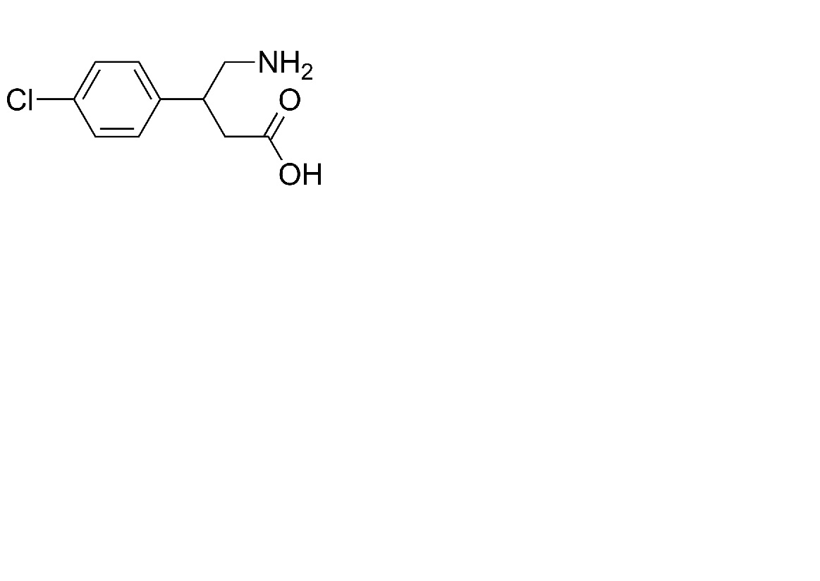
   Molecuulstructuur  

zalf

Factoren die de stabiliteit beïnvloeden   zalf   Factoren die de stabiliteit beïnvloeden : Baclofen        
geen gegevens

  Mentions Légales