Utolsó frissítés :
18/03/2026
Különféle   Baclofen  
kenőcs
belsőleges oldat Injekció
Stabilitása gyógyszerészeti készítmények A keverékek stabilitása Stabilitást befolyásoló tényezők Kompatibilitás Irodalom pdf
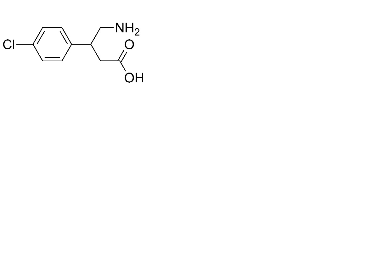
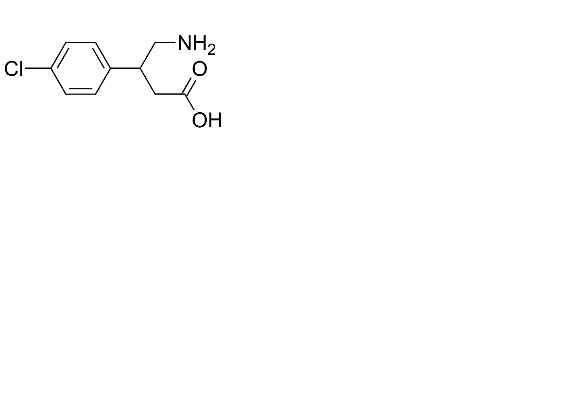
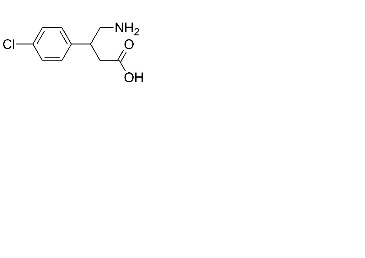
   Kémiai szerkezet   

kenőcs

Stabilitást befolyásoló tényezők   kenőcs   Stabilitást befolyásoló tényezők : Baclofen        
Hiányzó adat

  Mentions Légales