Dernière mise à jour :
18/03/2026
Divers   Baclofen  
Forme dermique
injectable Solution buvable
Stabilité des préparations Stabilité en mélange Facteur influençant la stabilité Compatibilités Bibliographie pdf
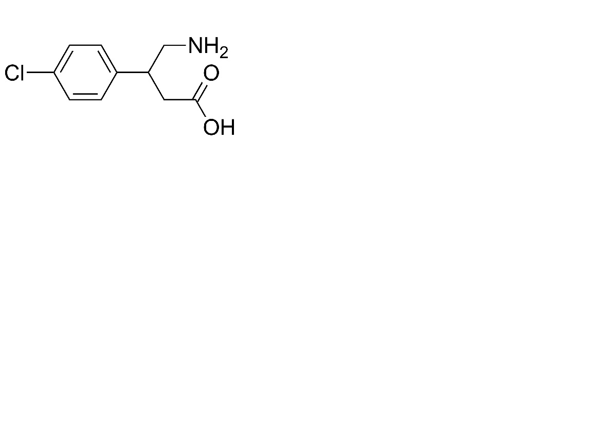
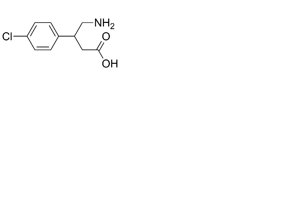
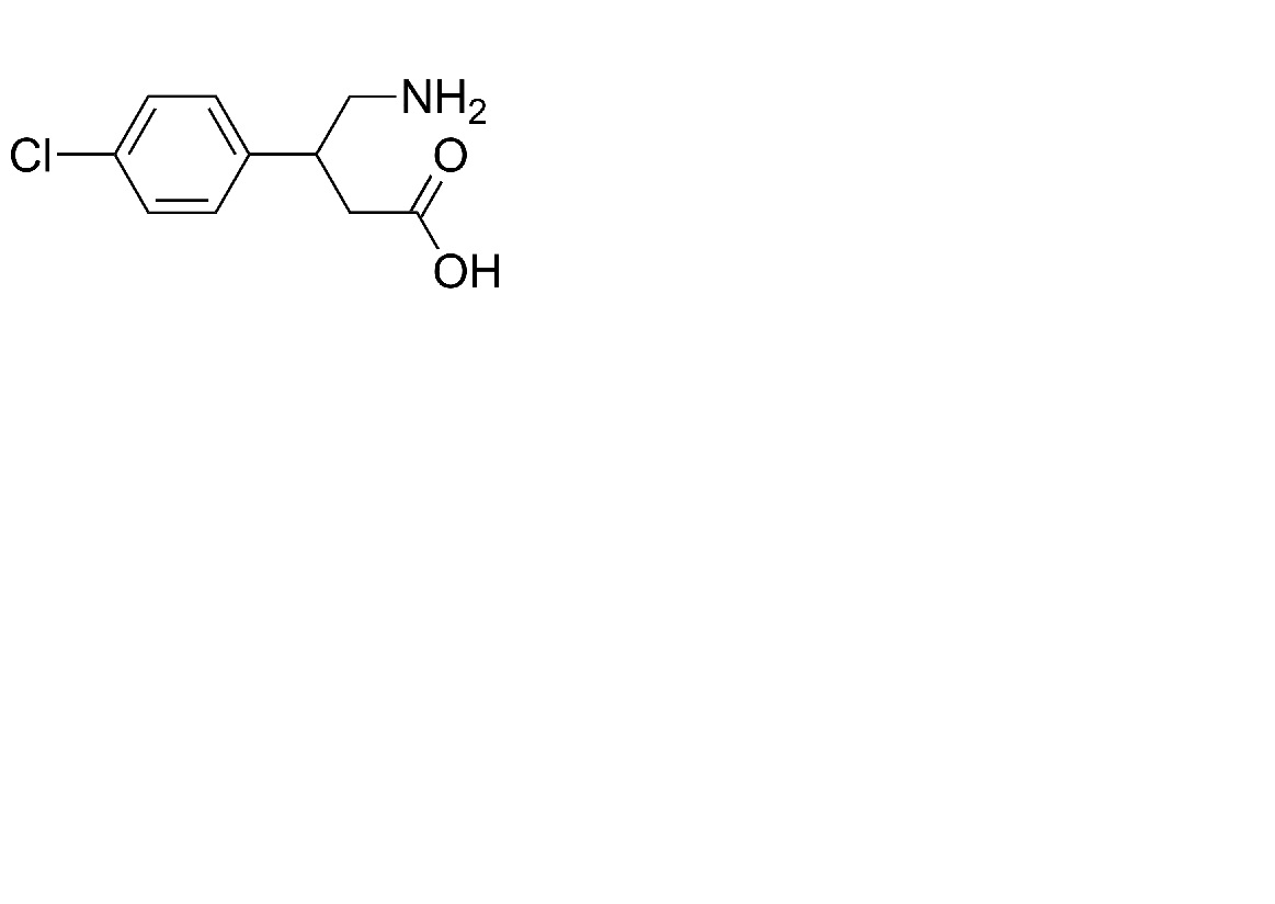
   Structure chimique  

Forme dermique

Facteur influençant la stabilité   Forme dermique   Facteur influençant la stabilité : Baclofen        
Aucune donnée

  Mentions Légales