Останнє оновлення :
18/03/2026
Infostab
Список препаратів
Зведені списки
Пошук сумісності
Таблиця сумісності Y-site
Список літератури
Дослідницькі групи
valistab
Плакати
Посилання
Спонсори
Автори
Посібник користувача
Newsletter
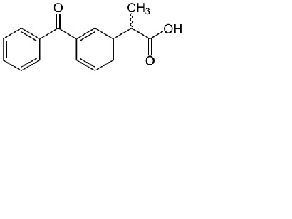
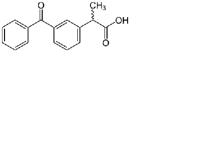
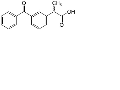
Ketoprofene
Хімічна структура
Список літератури : Ketoprofene
Тип
Публікація
3971
журнал
Gorman G, Sokom S, Coward L, Arnold J J.
Development and Application of a High-Performance Liquid Chromatography Stability-Indicating Assay for Beyond-Use Date Determination of Compounded Topical Gels Containing Multiple Active Drugs.
Int J Pharm Compound 2017 ; 21, 2 : 164-170.
Mentions Légales