最新更新 :
18/03/2026
Infostab
药品清单
简要表
搜索兼容性
Y 站点兼容性表
引用文献
研究小組
valistab
海报
鏈接
贊助商
作者
使用指南
时讯
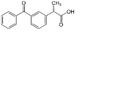
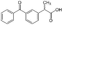
Ketoprofene
化学式
引用文献 : Ketoprofene
种类
出版物
3971
文献
Gorman G, Sokom S, Coward L, Arnold J J.
Development and Application of a High-Performance Liquid Chromatography Stability-Indicating Assay for Beyond-Use Date Determination of Compounded Topical Gels Containing Multiple Active Drugs.
Int J Pharm Compound 2017 ; 21, 2 : 164-170.
Mentions Légales