Ultimele actualizari :
18/03/2026
Infostab
Listele
Listele
Cercetări de compatibilitate
Tabel de compatibilitate Y-site
Bibliografie
Echipe de cercetare
valistab
poster
Conexiuni
sponsori
Autor
Mod de utilizare
Newsletter
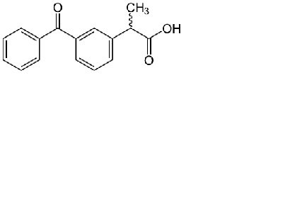
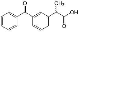
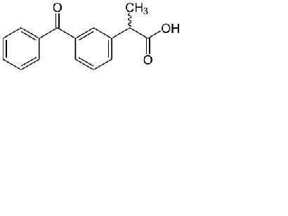
Ketoprofene
Formula chimica
Bibliografie : Ketoprofene
tip
publicare
3971
ziar
Gorman G, Sokom S, Coward L, Arnold J J.
Development and Application of a High-Performance Liquid Chromatography Stability-Indicating Assay for Beyond-Use Date Determination of Compounded Topical Gels Containing Multiple Active Drugs.
Int J Pharm Compound 2017 ; 21, 2 : 164-170.
Mentions Légales