Viimeisin päivitys :
18/03/2026
Infostab
Luettelo yhdisteistä
Yhteenveto-luettelot
Etsi yhteensopivuutta
Y-sivuston yhteensopivuustaulukko
Viitteet
tutkimus Joukkueet
valistab
ilmoitus
Liitännät
sponsorit
Tekijät
Käyttöohje
Uutiskirje
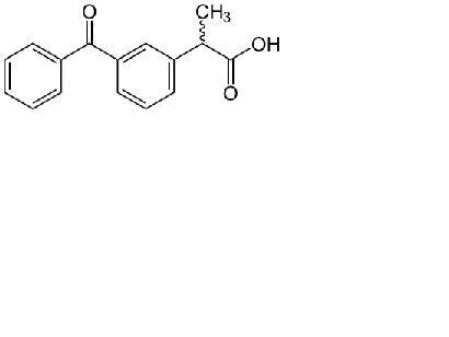
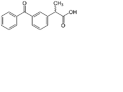
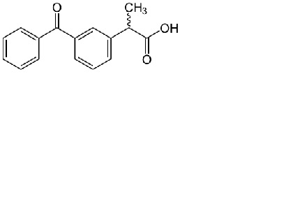
Ketoprofene
Kemiallinen rakenne
Viitteet : Ketoprofene
tyyppi
julkaisu
3971
Lehti
Gorman G, Sokom S, Coward L, Arnold J J.
Development and Application of a High-Performance Liquid Chromatography Stability-Indicating Assay for Beyond-Use Date Determination of Compounded Topical Gels Containing Multiple Active Drugs.
Int J Pharm Compound 2017 ; 21, 2 : 164-170.
Mentions Légales