آخر تحديث :
18/03/2026
Infostab
قائمة المركبات
ملخص القوائم
ابحث عن التوافق
جدول توافق موقع ص
مراجع
فرق البحث
valistab
الملصق
الروابط
الرعاة
الكتاب
دليل المستخدم
النشرة الإخبارية
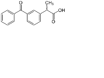
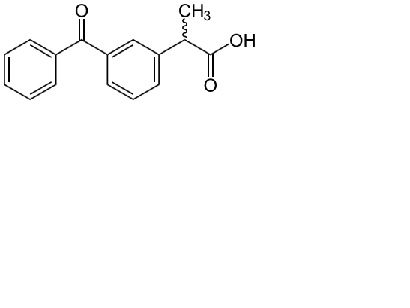
Ketoprofene
التركيب الكيميائي
مراجع : Ketoprofene
نوع
منشور
3971
مجلة
Gorman G, Sokom S, Coward L, Arnold J J.
Development and Application of a High-Performance Liquid Chromatography Stability-Indicating Assay for Beyond-Use Date Determination of Compounded Topical Gels Containing Multiple Active Drugs.
Int J Pharm Compound 2017 ; 21, 2 : 164-170.
Mentions Légales